• Open Access
  • Editors Choice
Spectroscopy and Excited States

Self-Consistent GW via Conservation of Spectral Moments
Click to copy article linkArticle link copied!

Open PDF

Journal of Chemical Theory and Computation

Cite this: J. Chem. Theory Comput. 2025, 21, 18, 8963–8981
Click to copy citationCitation copied!
https://doi.org/10.1021/acs.jctc.5c00657
Published August 30, 2025

Copyright © 2025 The Authors. Published by American Chemical Society. This publication is licensed under

CC-BY 4.0 .

Abstract

Click to copy section linkSection link copied!

We expand on a recently introduced alternate framework for GW simulation of charged excitations [Scott, C. J. C. J. Chem. Phys. 2023, 158, 124102], based around the conservation of directly computed spectral moments of the GW self-energy. Featuring a number of desirable formal properties over other implementations, we also detail efficiency improvements and a parallelism strategy, resulting in an implementation with a demonstrably similar scaling to an established Hartree–Fock code, with only an order of magnitude increase in cost. We also detail the applicability of a range of self-consistent GW variants within this framework, including a scheme for full self-consistency of all dynamical variables, while avoiding the Matsubara axis or analytic continuation, allowing formal convergence at zero temperature. By investigating a range of self-consistency protocols over the GW100 molecular test set, we find a little-explored self-consistent variant based around a simpler coupled chemical potential and Fock matrix optimization to be the most accurate self-consistent GW approach. Additionally, we validate recently observed evidence that Tamm–Dancoff-based screening approximations within GW lead to higher accuracy than traditional random phase approximation screening over these molecular test cases. Finally, we consider the Chlorophyll A molecule, finding agreement with experiment within the experimental uncertainty, and a description of the full-frequency spectrum of charged excitations.

This publication is licensed under

CC-BY 4.0 .
  • cc licence
  • by licence
Copyright © 2025 The Authors. Published by American Chemical Society

1. Introduction

Click to copy section linkSection link copied!

Green’s function methodologies in electronic structure hold a particular appeal, owing to their compact description of correlated effects within this dynamical variable compared to many wave function approaches. (1) Furthermore, this dynamical information directly encodes the spectrum of quasiparticle (charged) excitations, critical for understanding the reaction mechanisms and optoelectronic and transport properties of correlated systems, and provides a direct link to many experimental spectroscopic probes. The effect of electron correlation on Green’s functions is generally formulated via a self-energy, which is an object with the same mathematical properties as a Green’s function, and encodes these correlation-driven changes to the Green’s function. These self-energies can be diagrammatically constructed in a rigorous and systematic fashion via many-body perturbation theory, which leads to a range of approaches that can be categorized by their diagrammatic content.
Arguably the most widespread of these is the GW approximation, which dresses the quasiparticles found from a starting mean-field picture with a self-energy composed of an infinite resummation of bubble diagrams. (1−3) Applied within a density functional theory starting point, this results in a cost-effective approach for correlation-driven changes in charged excitations. Its performance has been especially validated for weakly correlated semiconductors and metals where it describes the long-range collective plasmonic excitations, which can often dominate the many-body physics in extended systems, with it also recently growing in popularity in molecular contexts. (4) This first-order perturbative expansion of the self-energy in terms of the dynamically screened Coulomb interaction (W(ω)) can be derived via a neglect of the vertex function within Hedin’s equations. (5,6) Furthermore, corrections to other dynamical quantities such as the optical excitation spectrum often begin from a GW picture of the quasiparticles, (7) placing GW in an important and central position in the context of spectral perturbation theories.
Without any further numerical approximations, GW formally scales as O[N6] (where N is a generic measure of system size in this context) and are therefore rare, since there are a multitude of well-founded, efficient, and improvable numerical approximations which can reduce the scaling down to O[N4], (8−13) O[N3] (14−18) or even linear scaling with additional assumptions concerning locality or stochastic averaging. (19,20) These have led to different variants of GW implementations depending on these additional numerical steps and the domains in which the dynamic variables are represented. These include plasmon-pole, analytic continuation, contour-deformation, space-time, and other variants. (21,22) These all have different strengths and weaknesses depending on the energy scales of interest, accuracy required or dominating physical processes, and while some approximations can be systematically reduced to convergence, others (such as analytic continuation steps) can not be, despite much progress. (23) Other approximations that are commonly employed include the quasiparticle approximation to the Dyson equation, where only the diagonal part of the self-energy (in the molecular orbital representation) is considered, precluding any relaxation of the electron density due to the correlations but allowing each molecular orbital to be relaxed independently.
Recently, there has been interest in “full frequency” reformulations of GW theory, where the dynamical self-energy is represented in a supermatrix or upfolded representation as explicit degrees of freedom, avoiding the need to consider numerical grids in which the self-energy or Green’s functions are described. (9,10,21,24−29) This entirely removes the need to consider numerical convergence of these grids to resolve the dynamics and transformations between domains. These “static” upfolded representations can nevertheless return to dynamical variables as discrete pole representations on the physical real-frequency at the end of the calculation, avoiding the need for ill-conditioned analytic continuation techniques which can be required in other formulations. (30,31) One conceptual viewpoint that can be useful is that these upfolded representations can be considered as exploiting the duality between the effect of a self-energy and a hybridization. (32) The upfolded self-energy can be thought of as hybridization with an external space, which mimics the effect of correlation on the mean-field quasiparticle states by introducing retardation effects on the electron and hole propagation once this external space is later traced out.
In contrast to an “exact” upfolded formulation of GW where the dynamics of the self-energy is considered in its entirety, (10,24) in ref (27), some of the authors recently introduced a “moment-conserving” upfolded GW approach. In this, the upfolded representation can be directly constructed so as to exactly describe only a desired number of (separate particle and hole) spectral moments of the real-frequency dynamical distribution of the self-energy. These moments can be alternatively considered as an effective short-time expansion of the particle and hole self-energy, and is also related to other orthogonal polynomial expansions for frequency-domain dynamical objects. (33) This approach leads to a particularly compact and compressed form for the upfolded representation, with the mean-field reference Fock matrix coupled to this effective environment, with the size of this external environment scaling only linearly with the orbitals in the system and the number of self-energy spectral moments to conserve.
We note that this is the correct physical scaling of the information content for self-energy for large systems. A scaling in the number of explicit poles which is greater than linear would at some system size no longer be able to be resolved on any finite grid of frequency points, with poles merging under infinitesimal broadening. Therefore, this moment expansion represents a physical compression of the self-energy for realistic systems. We also found this representation to be efficiently computable at the GW level, and rapidly converges to the full spectral dynamics with respect to this moment order over all energies, since it is not specifically targeting any particular (e.g., frontier) excitation energy scale. This compact and rapidly convergent expansion in terms of spectral moments can also be used to formulate variants of other spectral methods, including GF2 (34−36) and (extended) dynamical mean-field theory, (37−39) as well as being a alternative perspective in which to motivate new approximations. (40)
The upfolded moment expansion formulation of GW has a number of desirable properties. The numerically challenging “frequency integration” in the convolution to obtain the self-energy can be computed exactly for a given number of moments, avoiding a diagonal representation of this quantity. This allows an effective application of the Dyson equation rather than the solution to a diagonal quasiparticle approximation, including low-weighted spectral features in the resulting Green’s function, density relaxation, and avoidance of the numerical uncertainties which can be associated with the solution to the underdetermined quasiparticle equation (see, e.g., ref (41)). Furthermore, the upfolded yet only linear in size effective Hamiltonian can be completely diagonalized, allowing for the entire real-frequency spectrum to be obtained in a single shot, without the need to define the self-energy or Green’s functions on a numerical grid or analytic continuation. These numerical approximations are not the only source of differences among GW implementations. A myriad of self-consistent approximations have also been considered in the GW literature, which can relax the Green’s function and/or screened Coulomb interaction used to define the self-energy. (42−44) This can remove the undesirable starting point dependence of GW, (45) and has been shown to allow some more strongly correlated systems to be tackled in this framework. (46,47)
We first review the moment-conserving GW formulation and detail technical improvements in Section 2, including large-scale parallelism, spin integration, and use of natural auxiliary functions to improve the performance of the method, demonstrating its scaling with respect to both CPU and memory costs. In Section 3, we further demonstrate that all widely considered self-consistent GW variants (including full self-consistency) can be straightforwardly included within its scope. In Section 4, we apply the approach across a widely used molecular test set, where we demonstrate the convergence with respect to self-energy moments and across the different self-consistent approximations.
We also consider the use of interactions screened both at the random phase approximation (RPA) level, as well as the Tamm–Dancoff approximation (TDA), which neglects one of the time-orderings of the bubble diagrams in the screening channel. (10) We find that this TDA screening outperforms RPA in this molecular context and results in a particularly simple computational moment expansion approach. Furthermore, in Section 3.6, we detail the implementation of a largely unexplored variant of self-consistency which we dub ‘Fock self-consistency’, where the density matrix is made consistent across the mean-field and correlated levels of theory. In Section 4, we find this to be the most accurate variant across the considered test set while remaining highly efficient, which indicates significant potential for its use in molecular contexts. Finally, in Section 5, we apply the approach for the full-frequency dynamics of the Chlorophyll molecule, with both TDA and RPA screening, and observe the convergence of the frontier excitations and quasiparticle renormalization with respect to moment order. With TDA screening, the results align well with experimental results for the first ionization potential.

2. Moment-Conserved GW

Click to copy section linkSection link copied!

In this section, we recap the moment-conserving GW approach introduced in ref (27), as well as highlight a number of algorithmic improvements, optimizations, and parallelism that depart from the previous presentation. We also provide the formulation in terms of spatial orbitals, assuming a restricted, time-reversal symmetric reference state, in contrast to previous spin–orbital expressions. The central step of GW is the construction of the dynamic self-energy from the convolution of the Green’s function and screened Coulomb interaction as a first-order perturbative expansion
Σpq(ω)=i2πrsdωGrs(ω+ω+i0+)Wpr,qs(ω+i0+)
(1)
where p, q,... denote the canonical molecular orbitals of the reference state, and 0+ is an infinitesimal positive regularization. However, we are only interested in obtaining a truncated series of spectral moments of the separated hole (<) and particle (>) self-energy, defined at order n as
Σpq(n,<)=1πμIm[Σ(ω)pq]ωndω(2)=(1)ndnΣ(τ)pqdτn|τ=0+(3)
(3)
and similarly
Σpq(n,>)=1πμIm[Σ(ω)pq]ωndω(4)=(1)ndnΣ(τ)pqdτn|τ=0(5)
(5)
where τ is the imaginary time and μ represents the chemical potential of the system. This exposes the relationship of these moments of the dynamical distribution of the self-energy spectra to a Taylor expansion of the short-time dynamics of the greater and lesser parts of the self-energy, with the moments defining the integrated weight, mean, variance, skew, and higher-order moments of the dynamical distribution of each element of the self-energy in the frequency domain. In this work, this moment expansion is used as an alternative approach to truncate the resolution of the effective dynamical character of the self-energy and provide a systematically improvable approximation to the fully dynamical and matrix-valued self-energy, without requiring explicit resolution on time or frequency grids and allowing for manifestly zero-temperature spectra.
Additionally, this frequency integration can be performed exactly from knowledge of the corresponding spectral moments of G(ω) and W(ω), with the latter denoted as W(n) and defined by an expression analogous to that of the self-energy moments of eqs 2 and 4. Assuming a diagonal representation of G(ω), as would be provided by a mean-field state in the canonical basis of hole (denoted i, j, k,... of dimensionality o) and particle (denoted a, b, c,... of dimensionality v) states, then we can write the spectral moments of the occupied and virtual self-energy as
Σpq(n,<)=t=0nk(nt)(1)tϵkntWpk,qk(n)
(6)
Σpq(n,>)=t=0nc(nt)ϵcntWpc,qc(n)
(7)
where ϵk and ϵc run over occupied and virtual state energies of the Green’s function, respectively, and n is the number of moments in the expansion. Our parallelized implementation distributes this contraction index (k and c, respectively) over the message passing interface (MPI) processes. The moments of the screened Coulomb interaction require knowledge of the neutral excitation spectrum via a density response function, obtained in this work either at the RPA or TDA level. The construction of the moments of the screened Coulomb interaction, W(n), will be described in Section 2.1. In addition to the dynamic self-energy above, a static self-energy is required to remove the explicit contribution of the exchange-correlation functional and ensure a well-defined perturbative expansion. This is given by
Σ=K[D]Vxc
(8)
where K[D] is the exchange matrix (constructed from the density matrix, D, defined by G(ω)) and Vxc is the exchange-correlation potential of the reference state. This cancels out to zero for a canonical Hartree–Fock reference state.
Once the hole and particle spectral moments of Σpq(n,</>) are found, an effective Hamiltonian of dimension O[nmommax(o+v)] can be constructed, where nmommax indicates the maximum conserved moment order, and whose eigenvalues and eigenvectors define the pole energies and residues of the resulting correlated GW Green’s function. This effective Hamiltonian can be constructed by inverting the block Lanczos three-term recurrence relation and substituting in the spectral moments as powers of this effective Hamiltonian, as shown in ref (27). This results in the form
H~=[f+ΣW~W~d~]
(9)
where f is the reference Fock matrix in the MO basis, which for G0W0 is just a diagonal matrix of the ϵk and ϵc orbital energies. The matrices and define a coupling of the molecular “physical” orbitals to an “external” space, describing the correlation-driven changes to the quasiparticle spectrum. The dimensionality of this external space (and hence the matrices) grows only linearly with moment order and system size. These matrices can be obtained via a series of recursive linear algebra steps according to the block Lanczos algorithm, starting from the Σpq(n,<) and Σpq(n,>) moments from eqs 6 and 7, and providing a block tridiagonal matrix representation of the upfolded self-energy which exactly conserves these moments (see ref (27) for more details). This external space is therefore simply an upfolded representation of a dynamical self-energy, which approximates the exact GW self-energy up to the moment truncation, and can be written in a “downfolded” form as
Σpq(ω)=W~(ω1d~)1W~
(10)
Since the dimensionality of grows linearly with system size and moment order, we can see from eq 10 that the number of poles of the effective self-energy also grows in this way. All dressed quasiparticle excitations are found from the complete diagonalization of this Hamiltonian, H̃. In this way, the correlated GW retarded Green’s function can be subsequently obtained in a Lehmann representation in the frequency domain as
G(ω)pq=αχpαχqαωEα+iδ
(11)
where χpα are the eigenvectors of the effective Hamiltonian of eq 9, with p denoting an index in the MO basis of the physical space, and α labels the eigenstates of the full system with eigenvalues Eα, with δ a regularizing Lorentzian broadening for the spectral function. The spectral function can then be found as
A(ω)=1πpIm[G(ω)pp]
(12)
Since the dimension of the effective Hamiltonian of eq 9 scales linearly with the number of moments, increasing the moment order correspondingly increases the number of poles in the resulting spectral function of eq 12. In this way, the moment order can be seen to directly control the effective resolution of the dynamics of the self-energy (and thus Green’s function) across the entire spectral range, with increased splitting of the self-energy poles at higher moment orders. Furthermore, since the numerator of the Green’s function of eq 11 corresponds to the component of the eigenvector corresponding to each excitation in the physical space (i.e., once the external space is traced out), this can be less than unity, describing a suppression of spectral weight due to the correlations and a reduced quasiparticle weight of the excitation in the spectrum. This contrasts with more traditional GW approaches where each excitation is obtained independently via a self-consistent solution (or linearized approximation) of the quasiparticle equation, assuming a diagonal self-energy. (22) Allowing for the coupling between the bare quasiparticle states afforded by nondiagonal elements of the self-energy (moments) admits electron density relaxation by mixing these states (even at the G0W0 level), and can also (along with the dynamics) split the quasiparticle states in more strongly correlated systems. (48) The coupled external space also results in an increased number of solutions compared to the quasiparticle approximation, additionally providing lower-weighted incoherent excitations associated with satellite peaks. (8,49)

2.1. Screened Coulomb Interaction Moments and Natural Auxiliary Functions

The construction of the moments of the screened Coulomb interaction (required for eqs 6 and 7) can be achieved with a contraction of the moments of the reducible density response function with the (static) Coulomb interaction. We first consider a low-rank decomposition of the Coulomb interaction as
(ij|kl)=PNauxVP,ijVP,kl
(13)
where P, Q,... denotes an auxiliary basis of dimension Naux, and (ij|kl) are the electron repulsion integrals in Mulliken (“chemists”) notation. These low-rank decompositions can be achieved with standard approaches such as density fitting or Cholesky decompositions. (50,51) In this work, we further compress the dimensionality of the auxiliary basis into a basis of natural auxiliary functions (NAF), (52) of dimension NNAF, as previously used in the context of GW in ref (23). These are constructed by forming and subsequently diagonalizing the positive semidefinite matrix
MPQ=vwVP,vwVQ,vw
(14)
whose eigenvectors define the NAF basis as contractions over the original auxiliary basis. This basis is truncated according to a threshold on the eigenvalues, ϵNAF, which for an employed value of ϵNAF = 10–5 was found to introduce negligible error into our results. The interaction tensor V is projected into this NAF basis, and can now be considered to have dimensions NNAF × M2, where M = o + v is the total number of orbitals. The result of this compression is that NNAF < Naux, resulting in a speedup of the most computationally demanding step of the full algorithm by a factor (Naux/NNAF)2. For representative truncations with conservative thresholds, this can result in time savings of ∼0.752, e.g., for the largest alkane considered in Figure 1 (C32H66).

Figure 1

Figure 1. Performance benchmark for the moment-conserving G0W0 implementation, indicating CPU time (top) and memory usage (bottom) for increasing numbers of atomic orbitals in linear alkane chains up to C32H66 in a cc-pVDZ basis, with maximum moment order nmommax = 7, obtaining the full G0W0 spectrum for each calculation. No natural auxiliary orbital compression was used in this consideration of resource scaling. Lines are shown for both TDA and RPA screening, and for Hartree–Fock via PySCF for comparison.

In principle, the orbital pair (v, w) should run over the entire M2 space to construct the natural auxiliaries that best approximate the entire interaction tensor in a least-squares sense. However, by default in this work we do not contract over the virtual–virtual block of the interaction, which we find leads to only a minor difference in compactness but reduces the cost of implementing eq 14 (as also found in ref (23)). This insensitivity to the virtual–virtual block in the efficiency of the NAF compression is driven by the fact that the occupied–virtual interaction terms are dominant in GW theory, defining the interaction kernel of the RPA, while the virtual–virtual block is only used in the subsequent screening equation (see eq 15). The exception to this is self-consistent implementations, where the screened Coulomb interaction itself is updated (see Section 3). In this, we find increased sensitivity to the choice of orbital spaces contracted over in eq 14 and, therefore, include the full orbital product space in the contraction. This is due to the fact that the NAF basis itself is not reconstructed through the self-consistency in our implementation, and therefore should be constructed in a way which is insensitive to the definition of the precise choice of orbital spaces. Full self-consistency starts to mix virtual–virtual interaction channels of the original mean-field state into the screening as the propagators are updated, and therefore these channels also need to be accurately described in the initial construction of the NAF basis.
Once the compressed low-rank interaction tensors have been constructed, the moments of the screened Coulomb interaction are given as
Wpx,qx(n)=PQiaVP,pxη~P,ia(n)VQ,iaVQ,qx
(15)
where x enumerates the hole and particle states in the Green’s function, but where only the hole or particle states of x are required for definition of the lesser (eq 6) and greater (eq 7) parts of the self-energy moments, respectively. The tensors W(n) are built with the x index distributed over MPI ranks, while the contraction over (i, a) is also distributed and reduced over these processes. The quantity η̃P,ia(n) is derived from the reducible density response for the neutral excitation spectrum, defined by the screening model, which can be directly constructed at either the RPA or TDA level, as we will describe next.

2.2. RPA Screening

We can define the spectral moments of the reducible density response function, ηia,jb(n), providing the appropriate screening at either the RPA or TDA level. We can connect these moments to the traditional dynamical derivation of GW theory, by first defining the dynamical density response function of RPA as
χ(ω)pq,rs=(P(ω)1K)1
(16)
where P(ω) is the irreducible polarizability defined by the reference state and K is the interaction kernel over the particle-hole channel which couples the bubble diagrams. We can sum over the particle-hole excitations and de-excitations, as
η(ω)ia,jb=χ(ω)ia,jb+χ(ω)ia,bj+χ(ω)ai,jb+χ(ω)ai,bj
(17)
We can then integrate over frequency in order to define the moments of the dynamical distribution of η(ω) for a systematically improvable expansion, as
ηia,jb(n)=1π0Im[η(ω+i0+)ia,jb]ωndω
(18)
We can furthermore define the useful intermediate, η̃P,ia(n), as
η~P,jb(n)=iaVP,iaηia,jb(n)
(19)
While the above connects the η̃(n) quantity to the dynamical formulation of the density response in the RPA, in practice, we can avoid the need to directly perform this frequency integration for each moment, and instead efficiently construct these moments via a recursive algorithm, motivated in ref (27), from the equation-of-motion formulation of the RPA. To do this, we first define a diagonal matrix D of the energy differences of the reference state (poles of the irreducible polarizability) as
Dia,jb=(ϵaϵi)δabδij
(20)
and also the matrices corresponding to the blocks of the standard equation-of-motion formulation of RPA theory (53,54) as
A=D+2VV
(21)
B=2VV
(22)
We note that all interaction tensors in RPA (and TDA) are defined over the particle-hole (i, a) channel, meaning V = VP,ia for the construction of these density function moments, which we have previously constructed in the NAF basis and distributed over MPI ranks (Section 2.1). The additional factor of 2 is added to account for spin integration over these restricted spatial orbitals. The zeroth moment of the reducible density response function at the level of RPA can then be calculated as
η~(0)=GD1(I4V(I+4VD1V)1VD1)
(23)
The G intermediate is found efficiently via numerical integration, related to implementations of total energy calculations for RPA correlation energies. (55,56) It is broken into a sum over two parts, Gmain and Goffset, both of dimensionality NNAF × ov, defined as
Gmain=1πz2Q(z)((I+Q(z))1I)VF(z)dz
(24)
Goffset=VD+40VDE(z)VVE(z)dz
(25)
with
Q(z)=4VF(z)DV
(26)
F(z)=(D2+z2I)1
(27)
E(z)=exp(zD)
(28)
The numerical integration of Gmain is performed by Clenshaw–Curtis quadrature, with grid points and weights optimized for improved efficiency. This optimization and resulting exponential convergence of both integrals is described in detail in ref (27), with 24 integration points used for the largest system in this work (the Chlorophyll system of Section 5) for a tight convergence of the integral.
The first-order moment can be evaluated more simply as
η~(1)=VD
(29)
Higher-order moments can then be found recursively from the knowledge of η̃(0) and η̃(1), as
η~(n)=η~(n2)(D2+4VVD)
(30)
A full derivation of these equations can be found in ref (27), with any changes to the final working expressions due to the spin-integrated formulation shown here, along with some efficiency improvements in eq 24 resulting from the minor modification to the definition of η̃(n) in eq 19 of this work.
The distributed MPI parallelism for the efficient evaluation of these density response moments, η̃(n), proceeds via distributing the (i, a) compound index of the diagonal matrix, D, which can be contracted with the correspondingly distributed V over these orbital index pairs. In contractions over this compound index, the results are then reduced across the MPI processes. This leads to an efficient distributed-memory parallelism, and an overall computational scaling of O[NNAF2ov+NNAF3].

2.3. Tamm–Dancoff Screening

A less diagrammatically complete form of screening can be found by the Tamm–Dancoff approximation (TDA). This considers screening of the interaction by the series of only forward-in-time bubble diagrams, precluding a mixing of de-excitations in the construction of the density response. Nevertheless, the TDA approximation has shown an indication in the literature that the resulting GW spectrum can be more accurate in molecular systems. (10) Algebraically, this imposes the condition B = 0, which significantly simplifies the moments of the density response in the TDA, which become
η(n)=An
(31)
The required computational variables η̃(n) can then be evaluated in O[NNAF2ov] scaling, without any numerical integration since η(0) = I within the TDA. The zeroth-order moment within the TDA is therefore
η~(0)=V
(32)
while subsequent moments can be found according to the recurrence relation
η~(n)=η~(n1)(D+2VV)
(33)
These expressions can be similarly parallelized over (i, a), with significantly fewer floating point operations, albeit with the same formal scaling as the RPA screening. We will also consider the use of TDA screening on the results and how this affects self-consistent implementation in Section 4.3.

2.4. Computational Scaling Benchmarks

Figure 1 shows a benchmark in computational efficiency for our GW procedure, indicating the CPU time and memory usage of the moment-conserving G0W0 method for increasing numbers of atomic orbitals. We show results for both TDA and RPA screening and a fixed maximum moment order nmommax = 7. The systems used for these calculations were increasing sizes of simple chain alkanes in a cc-pVDZ basis set, although at no point do we exploit any locality present in these quasi-one-dimensional systems to skew the observed scaling. The observed computational complexity for both the CPU time and memory usage for each method is shown in the respective legends via a fit to the largest systems. These asymptotic scalings are as expected, with all methods exhibiting roughly a quartic scaling in their CPU time with system size, and a cubic scaling in memory usage. The cost of our GW implementation is therefore only just over an order of magnitude more expensive than the default Hartree–Fock code in PySCF. (57,58) The cubic-scaling memory cost is, however, currently the bottleneck for the code. While this can be partially alleviated through the usage of the NAFs, discussed in Section 2.1, which would reduce memory cost by a factor of ∼0.75 and computational cost by a factor of nearly half for the largest alkane chain (though was not considered in the resource data of Figure 1), this memory bottleneck remains a priority area for future development, via the use of tensor hypercontraction or interpolative separable density fitting techniques. (18,59−61)

3. Self-Consistency

Click to copy section linkSection link copied!

One of the significant drawbacks of the most widespread single-shot “G0W0“ is the dependence of the result on the choice of reference state, which in turn defines the initial energy levels for the irreducible polarizability (D in eq 20) and space of particle-hole excitations for the screening channel. While free from formal double-counting of correlated effects from the DFT and the GW diagrammatic expansion, this maintains an undesirable dependence on the choice of exchange-correlation functional inherited from DFT and can make it more difficult to compare GW results. Furthermore, it is unclear how to systematically improve the spectrum beyond GW, with proposals to increase the perturbative order in the expansion in terms of the screened Coulomb interaction, or including vertex corrections in the screening often met with mixed results. (62−64)
An alternative approach to alleviate some of these drawbacks is to define a self-consistent procedure on one or more of the variables in GW that define the self-energy, ranging from the reference state or density-based self-consistency to the dynamical Green’s function or screened Coulomb interaction. Full self-consistency of all objects results in a formal conservation of desired expectation values within GW, but was initially found to yield poor results for the uniform electron gas, (65) although it has recently found renewed interest. (66−68) A number of more heuristic self-consistencies have also been formulated in this field, which may not be formally conserving approximations but which reduce or eliminate the dependence on the choice of exchange-correlation functional in the reference state. We find that essentially all of these approaches, from partial to full self-consistency, can also be straightforwardly implemented within this moment-based approach to GW, which we will describe in this section. We will then compare and contrast these self-consistent moment-truncated variants in Section 4.3, comparing their convergence with maximum moment order and benchmarking the quality of the results compared to high-accuracy reference data in molecular systems.

3.1. One-Shot G0W0

We first consider the one-shot G0W0 method (69) within the moment-conserving framework from an algorithmic perspective as a primitive routine in the self-consistent adaptations. All approaches assume that the compact natural auxiliary functions described in Section 2.1 have been computed in advance (if desired) and are used for the expansion of the factorized bare Coulomb interaction as input to the algorithm. In the one-shot approach, the moments of the self-energy are computed according to eqs 67, after which they are used to find the effective Hamiltonian of eq 9. The diagonalization of this Hamiltonian provides the set of poles of both the self-energy and correlated Green’s function as shown in eq 11. Given the moments, the construction and diagonalization of this upfolded moment-conserving Hamiltonian are achieved with the MBLSE solver within the dyson package.The overall G0W0 algorithm is sketched schematically in Alg. 1, whose input is a set of orbital energies from a DFT or Hartree–Fock reference, ϵ, the transformation from atomic (AO) to molecular orbitals (MO), C, the factorized bare Coulomb interaction in the AO and NAF basis, VAO, and the maximum order to which the self-energy moments will be computed, nmommax. Note that in the algorithm, two copies of the three-index Coulomb interaction are transformed in order to facilitate the parallelism of the algorithm. The first, VQ,ia, only contains the interaction in the particle-hole channel, and is distributed over MPI threads by the compound index (i, a), while the second which we denote Q,px spans the entire MO product space, and is distributed over MPI threads via the x index which labels the index contracted with the Green’s function in the final convolution with the screened Coulomb moments (eq 15) in eqs 67.

3.2. Eigenvalue Self-Consistent GW

Eigenvalue self-consistent GW (evGW) performs a partial self-consistent solution to GW where the orbital energies are updated between iterations without updating the orbital coefficients or overall electron densities. (70−73) This is particularly convenient as the orbital space remains the same dimension; the bare Coulomb interaction tensors remain unchanged, and the existing expressions can be modified by simply updating ϵ. However, since the orbitals do not change, it does not fully remove the reference dependence of the GW starting point. There is an additional choice as to whether it is either the reference Green’s function, the screened Coulomb interaction, or both that is modified through the iterations to reflect the updated orbital energies in the reference state. If only the Green’s function is changed (denoted evGW0), then only the ϵ values in eqs 6 and 7 are updated in each iteration, while if the screened Coulomb interaction is modified to reflect changes in the irreducible polarizability moments, then eq 20 is also changed and the screened Coulomb moments must be regenerated in each iteration. When both G and W moments are updated, we denote the approach as evGW.
In order to update the quasiparticle energies each iteration within this scheme, it is necessary to associate a single distinct eigenvalue of the effective Hamiltonian, Eα, with each MO. We do this by associating the pole of the correlated Green’s function indexed by α with the largest quasiparticle weight on each MO index p, as determined by the eigenvectors, χpα, by using
ϵpQP=Eαwhereα=argmaxβ|χpβ|2
(34)
For systems where each GW excitation can be simply associated with a quasiparticle of the original reference state, this condition should be easily fulfilled, and therefore neglects the presence of satellite peaks in the spectrum for the update of the quasiparticle energies. A schematic of the implemented evGW algorithm can be found in Appendix A.

3.3. Quasiparticle Self-Consistent GW

Quasiparticle self-consistent GW (qsGW) achieves self-consistency by casting the self-energy to a static potential, VΣ, and using this potential to update the self-consistent field which defines the reference state, its single-particle energies, and coefficients. (74−77) The self-consistent field is reoptimized as
(f[C]+VΣ)C=Cϵ
(35)
where C, ϵ are an updated set of single-particle orbitals and energies, which can be used to calculate a new GW self-energy, followed by a new static potential, and so forth until convergence. In the real-frequency formulation of qsGW, this effective static potential simply evaluates the self-energy at the previous iteration quasiparticle energies, with a finite broadening δ, as
VpqΣ=12Re[Σpq(ϵp)+Σpq(ϵq)]
(36)
The self-energy evaluated at these specific frequencies can be found by directly considering the and blocks of the effective Hamiltonian, H̃ in eq 10. By diagonalizing and rotating to a representation where the external degrees of freedom have been decoupled, a set of couplings between the MO and external spaces can be found, vpλ, along with the energies of the external degrees of freedom, ελ. This allows for the effective dynamical self-energy to be computed as a sum over discrete poles as
Σpq(ϵp)=λvpλvqλϵpελsign(ελ)iδ
(37)
This method of regularization of the self-energy on the real-frequency with a Lorentzian broadening can present problems, and results were found to vary with the choice of δ. In response to this, the similarity renormalization group (SRG) (78,79) approach to regularization in qsGW calculations was developed in ref (79), which uses
Σpq(ϵp)=Δpλ+ΔqλΔpλ2+Δqλ2vpλvqλ(1exp([Δpλ2+Δqλ2]s))
(38)
with
Δpλ=ϵpελ
(39)
This procedure was found to allow for smoother convergence and reduced sensitivity with respect to the regularization parameter, s. (79) Both flavors of qsgw are available in our momentGW code.
An even more recent variant, which still appeals to a self-consistent quasiparticle approximation, but which avoids the need to define a static, Hermitian potential from the self-energy, was introduced by Duchemin and Blase in ref (48). In this, the diagonality of the Green’s function at the quasiparticle energies is maximized via a numerical optimization of a unitary rotation of the orbital basis. These orbitals are then used to define the particle-hole excitation channel for the screening.
We note that at the convergence of qsGW approaches, there are two Green’s functions which can be considered; there is the correlated Green’s function obtained in the same fashion as the previous methods (eq 11), while a Green’s function can also be constructed from the effective self-consistent mean-field description of eq 35. As is traditional in the qsGW literature, we choose the latter, where all excitations have a unit quasiparticle weight, and no satellites can be included in the description. (42) Our implementation of this moment-based qsGW scheme is detailed further in Appendix A.

3.4. Self-Consistent GW

Self-consistent GW (scGW) offers more complete self-consistency, (77,80−83) fully updating the Green’s function and (optionally) screened Coulomb interaction to construct them directly from the correlated Green’s function of the previous iteration, as given in eq 11. This not only changes the orbital coefficients, but also increases the number of excitations in the “reference” state defining the irreducible polarization propagator, each with a different weight, avoiding the requirement of assigning “quasiparticle-like” excitations as required in evGW (Section 3.2). This results in a rigorously “conserving” GW approximation, which ensures that appropriate physical quantities such as spin, charge, energy, and momentum are conserved, gauge freedoms are retained, along with consistency between thermodynamic relationships as functional derivatives. From a practical perspective, this also ensures a reference-independent solution to the Dyson equation in the full-frequency limit. To the best of our knowledge, fully self-consistent GW has always been performed on the Matsubara axis at finite temperature, to allow for the increasing structure of the optimized Green’s function with iteration, accounting for the introduction of low-weighted satellite peaks into the self-consistent Green’s function. However, in this work, we show that the moment truncation allows for this self-consistency to formally be considered at zero temperature, and without an explicit grid representation of the Green’s function, with the approach ensuring that the number of poles of the Green’s function is naturally truncated each iteration via the moment conservation criterion.
However, the number of excitations in this self-consistent variant does grow larger than the original quasiparticles defined by the MO space, and this requires additionally rotating V and at each iteration, with an enlarged space for the compound (i, a) index and x index, respectively, in these objects. These indices now label all particle and hole eigenstates found in the diagonalization of the effective Hamiltonian H̃ of eq 9 in each iteration, which we term “quasi-molecular orbitals” (QMOs). In a similar fashion to other self-consistent schemes, one can also define GW0 by fixing the screened Coulomb interaction moments and keeping the i, a indices referring to the original MO space, or indeed G0W by fixing the space indexed by x in eq 15 and the ϵ tensor in eqs 6 and 7. The moment-conserving scGW algorithm can also be found schematically in Appendix A.

3.5. Electron Number Conservation

Each time a new self-energy is constructed in an scGW step, it is necessary to find an appropriate chemical potential for the Green’s function in order to conserve total electron number. Within our moment expansion approach, each pole of the Green’s function is associated with an eigenvector of the constructed effective Hamiltonian. The component of this eigenvector in the physical space indicates the (generally noninteger) number of electrons which this pole contributes to the total electron number, i.e., its quasiparticle weight. Explicitly, once the effective Hamiltonian H̃ has been found at the end of a GW iteration (which includes the upfolded representation of the GW self-energy), the trace of the correlated density matrix, ρpq, commensurate with the Green’s function of eq 11 can be found as a sum over the occupied eigenstates of H̃, to give the physical electron number as
Nelec=Tr[ρpq]=Tr[2α:Eα<μχpαχqα]
(40)
where μ is the chemical potential of the system, ensuring that the sum runs only over occupied poles (eigenstates), α, and where p, q denote orbitals in the physical sector of the Hamiltonian. To define the electron number, it is therefore simply necessary to define which eigenvectors of H̃ should be considered “occupied”. This reduces the “optimization” of a chemical potential to an Aufbau-like filling of the energy levels of the correlated Green’s function, until the filling optimally satisfies the total electron number of eq 40. This avoids the need for iterative root-finding algorithms and repeated transforms for chemical potential optimizations in Matsubara formulations of scGW.
In Section 3.4, it was argued that scGW should rigorously conserve electron number; however, this is not true through the intermediate iterations, nor for other approximations, and nor strictly away from the full-frequency limit (i.e., our necessarily truncated moment order). Therefore, we can find that the electron number in general will not be exactly conserved in the Green’s function, i.e., there will not be an Aufbau filling of the discrete Green’s function poles which results in the exact integer electron number. We note that this problem would also formally manifest in more traditional scGW implementations, where a chemical potential is optimized over the Matsubara axis. However, the finite grid resolution there implies a finite temperature, which smears out electron number, and means that finding a unique chemical potential that exactly satisfies electron number is possible. However, this is formally an artifact of the necessarily finite temperature which we do not have within the Lehmann representation of the Green’s function in our algorithm.
In our moment-scGW approach, we ignore these small electron number errors, noting that the error decreases with increasing moment order as increasing numbers of low-weighted poles emerge that enable the total electron number to be satisfied. However, we can alternatively devise a strategy to explicitly modify the self-energy to exactly conserve electron number, even at finite moment order and zero temperature. This can be achieved by finding a small relative chemical potential offset between the self-energy and the static potential defining the reference state (i.e., f + Σ). This shifts the self-energy poles a small amount relative to G0(ω), which in turn changes the correlated Green’s function to enable the total electron number to be satisfied. In practice for moment-scGW, this amounts to optimizing a small shift to the diagonal of the matrix in eq 9 (i.e., the energy levels of the “external” space), until the total electron number of eq 40 is satisfied to within any desired threshold at every iteration. However, while we believe that this should not result in any change to the final Green’s function for scGW in the infinite moment limit, at finite moment order, this resulted in a materially different correlated Green’s function and increased the average IP over the GW100 test set. This relative self-energy shift to impose electron number was therefore not used in our scGW algorithm, but rather used as motivation for a new self-consistent GW variant, when combined with a full self-consistent field optimization of the reference potential (f + Σ) each iteration, which is described further below.

3.6. Fock Matrix Self-Consistent GW

In this section, we propose a modified self-consistent GW algorithm, which combines the explicit electron number imposition described above, along with a self-consistent field optimization over the correlated density matrix for each iteration. This can serve to relax the single-particle density in the presence of the effective dynamical self-energy, such that the Fock matrix (which defines G0(ω) for each iteration, along with the orbitals and their energies used to build the next Σ(ω)) is consistent with the correlated density matrix. At convergence, this ensures a matching of the density matrix from the correlated Green’s function to the density matrix obtained from the reference Fock matrix used to define the orbitals and energies which define the irreducible polarizability and hence self-energy. In addition, the electron number is explicitly enforced for the correlated Green’s function at every step.
To achieve this, once a self-energy and correlated Green’s function has been built, the density matrix resulting from this Green’s function is first constructed via eq 40. This density matrix is used to form a new Fock matrix, F, which will form the static component of the self-energy, represented in the top-left block of . There are then two nested self-consistent loops. In the first, a relative chemical potential offset, ζ, is optimized between the (fixed) self-energy and F, in order to ensure the correct electron number of the correlated Green’s function. Once this has converged, F itself is optimized via a Hartree–Fock self-consistent field procedure, with the correlated (nonidempotent) density matrix at each step obtained from the full Green’s function (i.e., in the presence of the fixed Σ(ω)) until it is consistent with the density matrix produced by the diagonalization of the resulting single-particle Fock matrix. This chemical potential optimization and Fock matrix optimization are iterated in the presence of this fixed self-energy until both are consistently satisfied, as the density matrix optimization can also cause the physical electron number to change. At this point, a new self-energy is constructed using the orbitals and energies obtained from the optimized Fock matrix.
This can be implemented straightforwardly within the moment-constrained approach by manipulating the effective upfolded Hamiltonian of eq 9, H̃, found at the end of each GW iteration. Its eigenbasis can define the correlated density matrix, as shown in eq 40. This density can in turn be used to define a new Fock matrix, F[ρ], to update the static part of the upfolded Hamiltonian in H̃, initially defined by the reference state f + Σ at the start of the calculation. For the conservation of electron number, the energies of the self-energy poles are shifted slightly by a constant (ζ) in order to minimize an objective function given by the electron number error. This relative chemical potential is easily introduced within the effective Hamiltonian as a shift applied to the block of eq 9, until eq 40 is correct. Diagonalizing H̃ again following this shift can in turn result in a new correlated single-particle density matrix, which can be self-consistently optimized to convergence (with DIIS acceleration). (84,85) Once both the density and electron number are converged, this resulting converged Fock matrix can then be used to define the molecular orbitals and energies for G and W in the construction of an updated self-energy for the next iteration, until the self-energy, density matrix, and electron number are all converged and consistent. This is exactly akin to the so-called Fock loop introduced in previous work on the AGF2 method. (34,35)
Ultimately, these Fock loops and chemical potential optimizations ensure that the electron number is exactly conserved and relax the single-particle density such that the resulting Fock matrix is a fixed point derived from the correlated GW density. Since this can fully update the single-particle density matrix and resulting reference state, it should also formally remove the reference dependence of the GW results. Note that this procedure would not be possible with a diagonal approximation of the self-energy. We note that beyond relaxing the orbitals and energies from their mean-field reference, an important feature is that it treats incoherent low-weighted excitations in the same way as the quasiparticle-like peaks in the self-consistency. This avoids the need to define quasiparticle-like excitations of the correlated Green’s function for the self-consistency, which can become ill-defined in the presence of stronger correlation effects or even introduce discontinuities across a smoothly changing reaction coordinate. Nevertheless, this self-consistency is only defined at the level of the single-particle density matrix, and therefore the Green’s function of the reference state and the correlated Green’s function will still not match at convergence, unlike scGW. However, this “Fock self-consistency” (fsGW) is a cheaper variant than the full dynamical self-consistency of scGW, since the dimensionality of the physical space does not change. The algorithm for this self-consistent fsGW variant is sketched in Alg. 2.
Related self-consistent GW methods which rely on an optimization of the static density matrix have increasingly been considered in recent years, with a linearized formulation found to improve total energies and other dynamical properties. (86,87) Furthermore, the recent γsGW scheme introduced by Duchemin and Blase advocated for a similar self-consistency on the correlated density matrix, which was found to improve the ionization potentials over the GW100 test set. (48) In this scheme, the correlated density matrix was used in order to define a self-consistent Fock matrix (in turn defining G0(ω)) and static component of the self-energy, similar to the above. However, the orbitals and associated energies derived from this Fock matrix were not used to define the subsequent polarizability and dynamical self-energy, which instead was derived from an extraction of quasiparticle energies from the correlated Green’s function. This contrasts with the energies and orbitals used in the dynamical self-energy also being derived directly from the self-consistent Fock matrix in the fsGW approach presented here as well as the relative chemical potential that we impose to enforce electron number conservation.

4. GW100 Benchmark

Click to copy section linkSection link copied!

The proliferation of self-consistency variants (including optimization of G, W, or both), the choice of mean-field reference state, TDA or RPA screening, as well as the property under consideration (e.g., frontier excitations or full spectrum) mean that it is hard to benchmark the full space of relevant quantities across GW approaches. While several common technical considerations are removed in the approaches of this work (e.g., approximations to the convolution, analytic continuation, or quasiparticle equation), there is also the question of convergence with the order of conserved moments, and how this affects the accuracy of these different variants. Within molecular GW methods, the GW100 test set has emerged as a common benchmark for different implementations, enabling an assessment of approximations between numerical schemes and uncovering deficiencies in certain design choices in GW methodologies (such as the approach used to solve the quasiparticle equation, which we avoid in all GW variants in this work). (88) This test set consists of 102 diverse molecules with a wide range of properties and bonding types. Note that while the test set was originally 100 systems, two systems have since received updates to their structures, and so the set actually consists of 102 structures. This makes a suitable setting in which to benchmark the convergence and accuracy of the self-consistent moment-conserving GW approaches of this work.

4.1. Exemplar Molecule: Borane

Before considering the aggregated results over the full test set, in Figure 2, we focus on the IP of Borane (BH3) as an example, and to quantify the impact of mean-field starting point and moment order convergence in our G0W0 approach. A range of functionals are considered: two GGA functionals (PBE and BYLP), two hybrid functionals (HSE06 and B3LYP), a local density approximation (LDA), and Hartree–Fock (HF). It has been observed that allowing for the density relaxation effect afforded by removing the diagonal approximation for the self-energy (as we do in this work) can ameliorate some of this starting point dependence. (48) In addition, we consider both the RPA and TDA screening approximations. For the RPA screening, we compare to two reference (O[N6] scaling) “full-frequency” results on HF and PBE ref (89), which remove uncertainties due to choices of numerical grids. We find good convergence to these reference values as the moment order increases, noting that the small remaining discrepancies (7 meV for PBE and −13 meV for HF references) likely arise from the diagonal approximation to the self-energy in these reference values.

Figure 2

Figure 2. Convergence of the IP of Borane (BH3) with respect to the number of conserved moments (nmommax) of the self-energy in a def2-TZVPP basis set for single-shot G0W0, with RPA screening (left) and TDA (right). A range of mean-field starting points are considered, as well as reference values for RPA screening from PySCF, implementing an O[N6] full-frequency algorithm to remove any grid approximations. (89) The remaining discrepancy likely comes from the diagonal approximation to the self-energy enforced in the reference values.

However, there is variation in the rate of convergence with moment order, nmommax, over the different reference states. If we consider a system to be converged when the difference between a given moment order and the large moment limit is less than 10 meV, we find HF converges by the fifth moment, while DFT functionals converge between the 11th and 15th moments (depending on the fraction of exact exchange). This rapid convergence with HF references is largely echoed over the full GW100 test set, with another example, carbon monoxide (CO), shown explicitly in Appendix B. This fast convergence for these small molecules reflects that the HF initial IP is already a decent approximation, with an MAE of only ∼0.72 eV between converged G0W0@HF and the mean-field HF values from Koopmans theorem. This therefore requires a lower dynamical resolution of the self-energy (and hence maximum moment order) in order to resolve the changes from this initial reference due to the correlations. We also note that a HF reference was previously also found to provide more accurate gaps and frontier excitations than DFT references over this test set. (10) RPA screening is not found to provide much of a change to the calculated IPs compared to TDA, as long as some degree of (first-order) exact exchange is included in the reference state. These observations may, however, not extend to more extended or solid-state systems, where the polarizability is larger and DFT is likely to be a better starting point. Nevertheless, for this reason, we exclusively consider a HF reference over the remaining GW100 test set in subsequent sections of this work.
In Figure 3, we can now consider the moment convergence for the self-consistent adaptations of the moment-preserving GW implementation for this exemplar molecule. We explicitly show the reference independence of both the fsGW variant and the fully self-consistent scGW, with both HF and PBE references giving identical results at each order. This scGW value is also shown to converge to good agreement with two reference values from the literature, (90,91) with the remaining discrepancy likely to result from the analytic continuation of these reference values. Single-shot and evGW calculations are observed to converge significantly faster than the self-consistent implementations, with the evGW only providing a small shift compared to G0W0. Once again, the results and convergence rates are also observed to remain relatively consistent between the RPA and TDA screening.

Figure 3

Figure 3. Convergence of the IP of borane (BH3) with respect to the number of conserved moments (nmommax) for self-consistent implementations of moment-conserved GW across HF and PBE reference states. We consider RPA (left) and TDA (right) screening on a def2-TZVPP basis. Reference fully self-consistent scGW values are included from Caruso et al. (90) (ref A) and Wen et al. (91) (ref B), relying on self-consistency on the Matsubara axis, followed by analytic continuation.

4.2. Computational Details

While the original GW100 benchmarked G0W0 on a PBE reference state, here we exclusively consider a Hartree–Fock (HF) initial reference state, as discussed in the previous section. We use a def2-TZVPP basis set and matching default density fitting basis, along with the def2-TZVPP effective core potential for the atoms Rb, Ag, I, Cs, Au, and Xe, with the PySCF codebase used to set up these systems. (57,58) We ensure that all molecules and variants are performed up to a moment order of 9, ensuring that the most costly fully self-consistent variants can be completed for the largest systems. While we expect the G0W0 and evGW results to be converged with this, the fsGW and scGW results may have a small amount of residual moment error, which we would expect to result in a small overestimation of the resulting IP. Across the different self-consistencies, the convergence threshold was set to 5 meV for the energies and 10–4 for the maximum absolute difference in any element of the moments over all orders. Along with these thresholds, a constant DIIS space of 12 was employed, while all RPA calculations used 32 points in the numerical integration in eq 24. Apart from the scGW calculations, the density fitting basis was compressed to a natural auxiliary basis (see Section 2.1), with ϵNAF = 10–5.
To benchmark the results of frontier excitations for our methods across the GW100 set, we also needed to establish a “ground truth” method which we can rely on for an accurate comparison. The set initially relied on the difference of ground-state CCSD(T) results from an unrestricted Hartree–Fock (UHF) reference between the neutral and ionized systems, seen to be a reliable and highly accurate method. Since the initial work, CCSD(T) with RHF along with EOM-CCSD calculations have been used for comparison. For this work, the CCSD(T) results for the GW100 set were recalculated using ORCA with a frozen core approximation and a UHF ref (92). These results are in good agreement with the original CCSD(T), (88,93) EOM-CCSD of Lange et al. (94) and the CCSD(T) results of Bruneval et al., (86) with a mean absolute error in between our CCSD(T) results and those of Bruneval et al. across the set of only 0.04 eV. However, when comparing across these GW and other results (41,86) and different coupled-cluster-based benchmarks, a common outlier appears, MgO. This has an error in our CCSD(T) reference IP of 1.8 eV to the EOM-CCSD and 0.4 eV to the Bruneval et al. CCSD(T) results. This system has been highlighted before as a particular challenge for coupled-cluster, (95) and we have strong belief that the benchmark excitation energy is untrustworthy for this system, and thus is excluded from the data set when comparing results to the CCSD(T) reference data.

4.3. GW100 Results

Figure 4 shows the mean absolute error (MAE) in the ionization potential (IP) and electron affinity (EA) aggregated over the whole GW100 test set for RPA screening (left) and TDA screening (right), compared to explicit electron addition and removal calculations at the CCSD(T) level. Since these benchmarks are taken with respect to a CCSD(T) benchmark, they are not expected to converge to zero error in the limit of high moment order, but rather the intrinsic error of that particular method. In each plot, the x-axis indicates the MAE for the IP, and the y-axis indicates the EA, with the progression toward the origin indicating convergence over the aggregated data to the CCSD(T) level. While all methods display good convergence with increasing moment order to the inherent accuracy of the method, GW0 results for nmommax = 1 are noteworthy as an outlier for being extremely poor for both TDA and RPA screening. When examined on a per system basis, there are 4–8 systems that are significant outliers for this method, with the IP outliers forming a subset of the EA outliers. These systems are no longer outliers in higher moment orders, with relatively small distributions over the set as nmommax increases, with the moment approximation converging to close to an exact full-frequency treatment of the method. We find that by a moment order of approximately 7, the moment approximation error is largely converged and far smaller than the intrinsic error of the method, resulting in diminishing returns to further increase the moment order. The change in these frontier excitation energies between moment orders of 7 and 9 is almost always significantly less than 100 meV, which is near the scatter of traditional GW implementations due to grid convergence or differences in the convolution treatment. (88)

Figure 4

Figure 4. Convergence of the MAE for IP (x-axis) and EA (y-axis) across the GW100 test set with respect to CCSD(T) reference values for many of the self-consistent GW approaches considered. Numbers in the circles represent the maximum order of the conserved self-energy moments for each method, showing convergence to the full-frequency limit. The left plot shows the aggregated results for RPA screening, while the right plot is for TDA screening. The inset of each plot depicts the aggregated MAE for moment order 7 across the different moment-conserving GW variants.

When comparing results between the TDA and RPA screening, we find that particularly for the IP, TDA screening is seen to perform better than RPA screening for all GW variants, despite containing significantly fewer diagrammatic contributions. This has also been noted for molecular systems previously in ref (10). The significantly simpler TDA leads to a much more efficient (and parallelizable) algorithm, resulting in a very viable method for charged excitations in molecules. This good performance of the TDA screening must result from favorable error cancellation. This is likely to arise from the reduction in the IP from TDA screening treatment compensating for the overestimation arising from the Hartree–Fock reference state. It is likely that such a favorable cancellation may not appear in alternative reference states, where, e.g., G0W0@PBE calculations have been found to underestimate the IP with RPA screening over this test set, (90) and the TDA may compound rather than alleviate this error. Similarly, the importance of plasmonic-like collective excitations in more polarizable extended systems is likely to also necessitate the enhanced diagrammatic content of RPA screening in GW.
We can also compare the self-consistent variants over this test set; we find that G0W0, evGW0 and evGW perform very similarly, indicating that the eigenvalue self-consistency seems to be having little effect in these systems, presumably due to its inability to change the orbitals from the reference HF state, and with the HF reference already providing a reasonable approximation for these large gapped molecular systems, as discussed in Section 4.1. Comparatively, GW0 and GW approach convergence with respect to moment order differently, with an initially larger IP than EA MAE; however, it converges to similar values to G0W0 and evGW variants for higher moments. This pathway is similarly seen within fsGW; however, it rapidly converges to a lower MAE for both IP and EA with respect to moment order. No results are shown for qsGW due to convergence issues associated with a small number of molecules at higher moment order, noting that unreliable convergence of qsGW has been observed in the literature. (7)
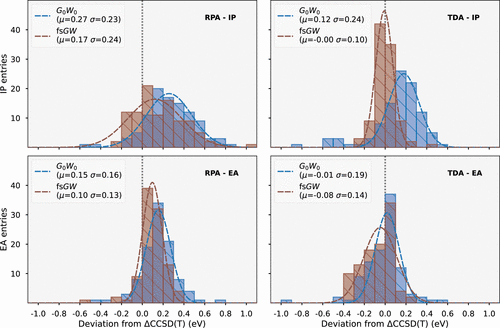
To better consider the best performing self-consistent fsGW variant, Figure 5 compares fsGW and G0W0 for moment order 9, again benchmarked against CCSD(T), as histograms of the errors for IP (top) and EA (bottom) over all molecules in the set. For TDA screening of the first IP, fsGW is seen to perform significantly better than G0W0 with an average difference of only −0.4 meV and a narrow spread in results given by a standard deviation of 0.1 eV. Only one system, TiF4, deviates beyond 0.3 eV from the CCSD(T) result, noting that this system also appears as an outlier for a similar method described in ref (86), casting some doubt on the reliability of the benchmark CCSD(T) for that molecule. The EA results are more similar between the two methods with small mean errors and standard deviation. For RPA screening, both methods are seen to predominantly overestimate the energies, but both the EA and IP fsGW results provide a small but significant improvement in the mean error over G0W0. While these fsGW results are encouraging, further benchmarking of the method is required over a larger set of systems and materials, noting that the different rates of convergence with respect to moment order also require care for a faithful comparison.

Figure 5

Figure 5. Histograms of the signed errors for IP and EA with G0W0 and fsGW relative to CCSD(T) over the GW100 set. Results presented for maximum moment order of 9 with Gaussians fit to the error distribution shown as dashed lines. The left plot shows RPA screening, right shows TDA screening with IP results shown top and EA bottom. The mean signed error (μ) and standard deviation (σ) for each method are shown in the legend.

Finally, Table 1 summarizes key statistics for the performance of the main self-consistent moment-conserving GW methods across the GW100 test set for maximum moment order 9. These aggregated statistics reinforce the trend of TDA screening performing better than RPA over these molecular systems, with fsGW@TDA being the best approach for both IP and EA estimates. Overall, we find that the trend of GW methods is to overestimate both IP and EA values in general such that the errors partially cancel for fundamental gaps. While this could be attributed to the HF starting point in this work, we find this persisting even for self-consistent variants. This results in the errors in the fundamental gap in general being smaller than the errors in the individual IP and EA. (86) Finally, we note that neither fully self-consistent GW (despite significant additional cost) nor evGW provides a clear tangible benefit over G0W0@HF when aggregated over these systems, further highlighting the value in alternate (albeit heuristic) self-consistent formulations such as fsGW. These values are also similar to those found in related studies over the IPs in ref (91). However, in their work, the fully self-consistent GW implementation performs slightly more favorably than the single shot, with MAEs for G0W0@HF and scGW of 0.35 and 0.29 eV, respectively. In this work, the improvement is not as clear when compared with the same reference CCSD(T) results. This remaining small discrepancy may be due to residual moment order incompleteness, as seen for nmom = 9 in Figure 3, which tends to result in an overestimation of the IPs relative to the infinite moment limit. In addition to this, differences in the temperature, numerical thresholds, and implementations of analytic continuation can all be factors, as well as the fact that the previous study considered 92 of the 101 systems considered here. Nevertheless, the agreement is broadly good.
Table 1. Mean Absolute Error (MAE), Mean Signed Error (MSE), and Standard Deviation (STD) for G0W0@HF, evGW, fsGW, and scGW across the GW100 Test Seta
 IPEA
RPAMAEMSESTDMAEMSESTD
G0W0297266233186153163
fsGW22216823813499131
evGW271235215153153169
scGW279–157301279271166
 IPEA
TDAMAEMSESTDMAEMSESTD
G0W0221119239134–12190
fsGW770103125–83142
evGW21938264179–108213
scGW439–439227141112142
a

All results are shown in meV at nmommax = 9.

5. Chlorophyll A Molecular Chromophore

Click to copy section linkSection link copied!

The Chlorophyll A molecule is central to photosynthesis and features a light-harvesting complex connected to an extended conjugated π-system in a chlorin macrocycle ring with a magnesium ion at its center. This chlorin ring bears similarities to porphyrin rings, with its delocalized electronic structure enabling strong absorption in the visible wavelength, whose initial excitation creates excitons as a first step in photosynthesis. The states of the magnesium ion play a key role in modulating the electronic states and tuning the absorption spectrum.
A particularly appealing aspect of the moment-conserving approach to GW is that even when the dynamics of the self-energy are truncated to a particular moment order, the final correlated Green’s function is always obtained over all frequencies, without requiring excitations to be converged sequentially, targeting a specified energy window, or to rely on analytic continuation techniques. Indeed, since the self-energy moments are integrals over all frequencies, there is no reason to necessarily expect the accuracy of the frontier excitations to not be maintained throughout the spectrum (or indeed improved if core excitations are more rapidly converged with moment order of the self-energy). This allows for the full spectrum to be obtained straightforwardly from eq 12. We apply our moment-conserving G0W0 algorithm and compare RPA to TDA screening for the chlorophyll molecular chromophore within an aug-cc-pVDZ basis set. This system has 137 atoms with 2147 orbitals and 482 electrons, all of which are correlated, with the structure being obtained from the RCSB Protein Database (PDB).
In Figure 6, we show the convergence of the IP, EA, and their respective quasiparticle weights (i.e., residue of the pole in the spectrum) with respect to maximum conserved self-energy moment order. This demonstrates a strong convergence of the IP and EA positions, but a slower convergence of the quasiparticle weight. As the maximum moment order is increased, the total number of excitations grows linearly, and the proliferation of low-weighted excitations likely contributes to this slower convergence compared to the excitation energies. Perhaps surprisingly, we find that the TDA screened frontier excitations have a lower quasiparticle weight compared to the RPA screening, indicating a larger effect of correlation-induced splitting of these excitations compared to RPA, despite a smaller diagrammatic content of the screening physics. Overall, there is indeed some relatively substantial renormalization of these frontier excitations due to the correlation, with quasiparticle weights adjusted from a single-particle picture by a factor of ∼0.9.

Figure 6

Figure 6. Convergence of the moment-conserving G0W0 IP (left) and EA (middle) and their quasiparticle weights (right) with increasing conserved moment order for the Chlorophyll A molecule in an aug-cc-pVDZ basis set. Also included are the mean-field orbital energies corresponding to the IP and EA at the level of HF and DFT with a B3LYP functional. In addition, we include an experimental estimate of the IP energy from ref (96), with associated experimental uncertainty shown by the gray shaded region.

Returning to the IP energy, we can compare it to an experimental result of 6.1 ± 0.05 eV from a pump–probe evaporation experiment. (96) We find the G0W0 results within 0.04 eV (TDA) and 0.11 eV (RPA) of this value, with the TDA inside the experimental uncertainty. However, both of these discrepancies compared to experiment are also likely within the error associated with the remaining basis set incompleteness error of the G0W0 predictions. (97) Leaving this aside, we again note that the TDA screening is giving marginally better estimates of the IP compared to experiment, despite the significantly larger and more polarizable system that chlorophyll represents compared to the relatively small molecular systems of the GW100 test set, which would be expected to support plasmonic-like low-energy excitations only present in RPA screening. We find that both TDA and RPA screening is substantially more accurate compared to the HF and DFT@B3LYP estimates of the IP, with the B3LYP IP in error by 1.2 eV compared to experiment, while for the EA, the discrepancy to the G0W0 results is even larger.
The eigenvectors of H̃ corresponding to the IP and EA in these approaches also provide information about the spatial character of these HOMO and LUMO excitations for the chlorophyll system. These Dyson orbitals are shown in Figure 7, according to the moment-conserving GW calculations with maximum moment order nmommax = 11, and dictate the character of the fundamental absorption processes in the initial excitation, where charge transfer from the HOMO to the LUMO is expected. While both Dyson orbitals are localized on the π-conjugated system of the chlorin ring, the LUMO extends further over the nearby carbonyl group and peripheral substituents. This shows that the exciton is expected to be initially delocalized over the chlorin ring before transferring energy through the light-harvesting complex to the reaction center, as also found in other studies. (98,99)

Figure 7

Figure 7. Dyson orbitals for the HOMO (left) and LUMO (right) for chlorophyll in an aug-cc-pVDZ basis set for the moment-conserving G0W0 method, using RPA and TDA screening, with maximum moment order nmommax = 11.

In Figure 8, we also plot the spectrum over a much wider spectral range (nmommax = 11), showing a qualitative similarity between the TDA and RPA screened spectra with a broad band of excitations. The plot also includes the Hartree–Fock and B3LYP spectral functions, shown as fainter lines. The fundamental gap of the spectrum is found to be 4.32 eV (TDA) and 4.53 eV (RPA)─in the near-UV rather than visible range─demonstrating the importance of excitonic binding in computing the correct optical gap. Extensions of this moment-conserving approach toward the Bethe–Salpeter equation are underway in order to include these effects for optical processes. Additionally, the differences in quasiparticle weight seen in Figure 6 are less evident in the spectrum due to the broad band of higher weight excitations at larger energies. Nevertheless, the results for the charged spectrum are in good agreement with experiment and demonstrate a scalable GW approach with full spectral information.

Figure 8

Figure 8. Spectral function for Chlorophyll A in an aug-cc-pVDZ basis set for the moment-conserving GW method, using RPA and TDA screening, with maximum moment order nmommax = 11. Thinner lines show the Hartree–Fock and B3LYP spectral functions. IP and EA locations are shown for the moment-conserving G0W0@TDA.

Figure 9

Figure 9. Convergence of the IP of carbon monoxide (CO) with respect to the number of conserved moments (nmommax) of the self-energy in a def2-TZVPP basis set for single-shot G0W0, with RPA screening (left) and TDA (right). A range of mean-field starting points are considered, as well as reference values for RPA screening from PySCF, implementing an O[N6] full-frequency algorithm to remove any grid approximations. (89) The remaining discrepancy likely comes from the diagonal approximation to the self-energy enforced in the reference values.

Figure 10

Figure 10. Convergence of the IP of carbon monoxide (CO) using the def2-TZVPP basis set with respect to the number of conserved moments (nmommax) for various self-consistent implementations across HF and PBE starting points, with RPA screening (left) and TDA (right). Reference fully self-consistent GW values are included from Caruso et al. (90) (ref A) and Wen et al. (91) (ref B), where the convergence takes place on the Matsubara axis. The scGW results for RPA screening are limited to 15 moments due to convergence issues for higher moments.

6. Conclusions and Outlook

Click to copy section linkSection link copied!

In this work, we have extended the recently introduced moment-conserving framework for GW, demonstrating efficiency improvements, parallelism, and extensions enabling a wide array of self-consistent adaptations to be reliably converged. The framework avoids analytic continuation and a number of other technical choices in most other GW implementations concerning a choice of grids, temperatures, or strategy for the convolution or quasiparticle approximations, relying instead solely on a convergence with the number of directly computed spectral moments in which the self-energy is expanded. These moments are then represented via a compact upfolded self-energy, enabling the full spectrum of excitations to be found in a single-shot diagonalization step.
Across the GW100 molecular test set, we show that a diverse range of self-consistent formulations of GW can be converged with respect to this moment approximation, reaching aggregated errors with respect to high-level references in agreement with entirely separate grid-based GW implementations. (86,90,91) Comparing across self-consistent variants, we find that a self-consistency just at the level of the Fock matrix and chemical potential (which we dub “Fock self-consistent GW”, fsGW) is particularly effective, while reducing the cost compared to a fully dynamical self-consistency. Furthermore, we corroborate previous indications that (somewhat counterintuitively) TDA rather than RPA screening provides a higher level of accuracy in the position of these frontier excitations for these molecular systems. This TDA screening also significantly simplifies the complexity of the moment-based GW calculations compared to RPA screening (noting the same O[N4] formal scaling). We also consider the more extended Chlorophyll A molecule, where again we find the first IP with TDA screening to be more accurate than RPA compared with experimental values. However, both are very close to these experimental values, and other uncertainties may need more scrutiny before conclusive statements can be made as to the most appropriate screening in this system. We demonstrate that we can find these IP and EA Dyson orbitals, as well as the full-frequency spectrum, which exhibits quantitative differences from DFT as expected.
Looking forward, we are extending the implementation to enforce k-point symmetry for solid-state applications, which will allow for a broader investigation into the effectiveness of the fsGW self-consistent scheme as a lower-cost approach compared to fully dynamical self-consistency. Furthermore, we will be able to investigate the limits of TDA screening in GW, noting that the expectation is that at some length scale, the polarizability of the system will be sufficiently large to support higher-body RPA-like plasmonic charge fluctuations, which will become essential for a faithful description. However, the “crossover” between these physical regimes and areas of applicability of TDA screening in both molecular and solid states is still unclear.
We can also formulate the Bethe–Salpeter equation within this formally “static” moment-conserving picture, which will enable an efficient recasting of optical and excitonic phenomena in this framework. Finally, we note that the bottleneck of the algorithm which prevents further scaling to larger systems is predominantly the memory bottleneck of the factorized Coulomb interaction (O[N3]), since our CPU scaling is only approximately a constant order of magnitude more than Hartree–Fock theory. Therefore, we will investigate the use of doubly factorized “tensor hypercontraction” techniques to remove this memory bottleneck and enable a further step-change in the size of the systems which we can explore within these approaches.

Data Availability

Click to copy section linkSection link copied!

The code for this project is fully open-source and available at https://github.com/BoothGroup/momentGW, while the dyson package for constructing upfolded moment-conserving Hamiltonians is available at https://github.com/BoothGroup/dyson.

Author Information

Click to copy section linkSection link copied!

  • Corresponding Author
  • Authors
    • Oliver J. Backhouse - Department of Physics, King’s College London, Strand, London WC2R 2LS, U.K.
    • Marcus K. Allen - Department of Physics, King’s College London, Strand, London WC2R 2LS, U.K.
    • Charles J. C. Scott - Department of Physics, King’s College London, Strand, London WC2R 2LS, U.K.
  • Author Contributions

    O.J.B. and M.K.A. contributed equally to this work and share the first authorship.

  • Notes
    The authors declare no competing financial interest.

Acknowledgments

Click to copy section linkSection link copied!

We sincerely thank Dominika Zgid for discussions on the technical details of particle number conservation in scGW. We thank Kemal Atalar for helpful comments on this manuscript. G.H.B. acknowledges funding from the European Union’s Horizon 2020 research and innovation programme under grant agreement No. 759063. We are also grateful to the UK Materials and Molecular Modelling Hub for computational resources, which is partially funded by EPSRC (EP/P020194/1 and EP/T022213/1).

A Schematic Self-Consistent Moment-GW Algorithms

Click to copy section linkSection link copied!

In this appendix, we provide pseudocode for the remaining self-consistent moment-conserving GW algorithms discussed in the main text.

B Carbon Monoxide Moment Convergence

Click to copy section linkSection link copied!

The plots of Figures 9 and 10 show the moment order convergence of the results for G0W0 over different initial reference states, as well as for the various self-consistent variants, analogous to the results and discussion in Section 4.1.

References

Click to copy section linkSection link copied!

This article references 99 other publications.

  1. 1
    Marie, A.; Ammar, A.; Loos, P.-F. Novel Treatments of Strong Correlations; Quintana, R. A. M.; Stanton, J. F., Eds.; Academic Press, 2024; Vol. 90, pp 157184  DOI: 10.1016/bs.aiq.2024.04.001 .
  2. 2
    Reining, L. The GW approximation: content, successes and limitations. WIREs Comput. Mol. Sci. 2018, 8, e1344  DOI: 10.1002/wcms.1344
  3. 3
    Golze, D.; Dvorak, M.; Rinke, P. The GW Compendium: A Practical Guide to Theoretical Photoemission Spectroscopy. Front. Chem. 2019, 7, 377  DOI: 10.3389/fchem.2019.00377
  4. 4
    van Setten, M. J.; Weigend, F.; Evers, F. The GW-method for quantum chemistry applications: Theory and implementation. J. Chem. Theory Comput. 2013, 9, 232246,  DOI: 10.1021/ct300648t
  5. 5
    Hedin, L. New Method for Calculating the One-Particle Green’s Function with Application to the Electron-Gas Problem. Phys. Rev. 1965, 139, A796  DOI: 10.1103/PhysRev.139.A796
  6. 6
    Hedin, L. On correlation effects in electron spectroscopies and the GW approximation. J. Phys.: Condens. Matter 1999, 11, R489R528,  DOI: 10.1088/0953-8984/11/42/201
  7. 7
    Monino, E.; Loos, P. F. Connections and performances of Green’s function methods for charged and neutral excitations. J. Chem. Phys. 2023, 159, 34105  DOI: 10.1063/5.0159853
  8. 8
    Véril, M.; Romaniello, P.; Berger, J. A.; Loos, P. F. Unphysical Discontinuities in GW Methods. J. Chem. Theory Comput. 2018, 14, 52205228,  DOI: 10.1021/acs.jctc.8b00745
  9. 9
    Quintero-Monsebaiz, R.; Monino, E.; Marie, A.; Loos, P.-F. Connections between many-body perturbation and coupled-cluster theories. J. Chem. Phys. 2022, 157, 231102  DOI: 10.1063/5.0130837
  10. 10
    Bintrim, S. J.; Berkelbach, T. C. Full-frequency GW without frequency. J. Chem. Phys. 2021, 154, 041101  DOI: 10.1063/5.0035141
  11. 11
    Pokhilko, P.; Zgid, D. Interpretation of multiple solutions in fully iterative GF2 and GW schemes using local analysis of two-particle density matrices. J. Chem. Phys. 2021, 155, 024101  DOI: 10.1063/5.0055191
  12. 12
    Duchemin, I.; Blase, X. Robust Analytic-Continuation Approach to Many-Body GW Calculations. J. Chem. Theory Comput. 2020, 16, 17421756,  DOI: 10.1021/acs.jctc.9b01235
  13. 13
    Bruneval, F. Ionization energy of atoms obtained from GW self-energy or from random phase approximation total energies. J. Chem. Phys. 2012, 136, 194107  DOI: 10.1063/1.4718428
  14. 14
    Foerster, D.; Koval, P.; Snchez-Portal, D. An O(N3) implementation of Hedins GW approximation for molecules. J. Chem. Phys. 2011, 135, 074105  DOI: 10.1063/1.3624731
  15. 15
    Liu, P.; Kaltak, M.; Klimeš, J. c. v.; Kresse, G. Cubic scaling GW: Towards fast quasiparticle calculations. Phys. Rev. B 2016, 94, 165109  DOI: 10.1103/PhysRevB.94.165109
  16. 16
    Ma, H.; Wang, L.; Wan, L.; Li, J.; Qin, X.; Liu, J.; Hu, W.; Lin, L.; Yang, C.; Yang, J. Realizing Effective Cubic-Scaling Coulomb Hole plus Screened Exchange Approximation in Periodic Systems via Interpolative Separable Density Fitting with a Plane-Wave Basis Set. J. Phys. Chem. A 2021, 125, 75457557,  DOI: 10.1021/acs.jpca.1c03762
  17. 17
    Duchemin, I.; Blase, X. Cubic-Scaling All-Electron GW Calculations with a Separable Density-Fitting Space-Time Approach. J. Chem. Theory Comput. 2021, 17, 23832393,  DOI: 10.1021/acs.jctc.1c00101
  18. 18
    Yeh, C.-N.; Morales, M. A. Low-Scaling Algorithm for the Random Phase Approximation Using Tensor Hypercontraction with k-point Sampling. J. Chem. Theory Comput. 2023, 19, 61976207,  DOI: 10.1021/acs.jctc.3c00615
  19. 19
    Kutepov, A. Self-consistent GW method: O(N) algorithm for polarizability and self energy. Comput. Phys. Commun. 2020, 257, 107502  DOI: 10.1016/j.cpc.2020.107502
  20. 20
    Schurkus, H. F.; Ochsenfeld, C. Communication: An effective linear-scaling atomic-orbital reformulation of the random-phase approximation using a contracted double-Laplace transformation. J. Chem. Phys. 2016, 144, 031101  DOI: 10.1063/1.4939841
  21. 21
    Tölle, J.; Chan, G. K.-L. AB-G0W0: A practical G0W0 method without frequency integration based on an auxiliary boson expansion. J. Chem. Phys. 2024, 160, 164108  DOI: 10.1063/5.0195934
  22. 22
    Li, D.; Polizzi, E. Nonlinear eigenvalue algorithm for GW quasiparticle equations. Phys. Rev. B 2025, 111, 045137  DOI: 10.1103/PhysRevB.111.045137
  23. 23
    Tölle, J.; Niemeyer, N.; Neugebauer, J. Accelerating Analytic-Continuation GW Calculations with a Laplace Transform and Natural Auxiliary Functions. J. Chem. Theory Comput. 2024, 20, 20222032,  DOI: 10.1021/acs.jctc.3c01264
  24. 24
    Tölle, J.; Chan, G. K.-L. Exact relationships between the GW approximation and equation-of-motion coupled-cluster theories through the quasi-boson formalism. J. Chem. Phys. 2023, 158, 124123  DOI: 10.1063/5.0139716
  25. 25
    Gao, W.; Tang, Z.; Zhao, J.; Chelikowsky, J. R. Efficient Full-Frequency GW Calculations Using a Lanczos Method. Phys. Rev. Lett. 2024, 132, 126402  DOI: 10.1103/PhysRevLett.132.126402
  26. 26
    Backhouse, O. J.; Booth, G. H. Constructing “Full-Frequency” Spectra via Moment Constraints for Coupled Cluster Green’s Functions. J. Chem. Theory Comput. 2022, 18, 66226636,  DOI: 10.1021/acs.jctc.2c00670
  27. 27
    Scott, C. J. C.; Backhouse, O. J.; Booth, G. H. A “moment-conserving” reformulation of GW theory. J. Chem. Phys. 2023, 158, 124102  DOI: 10.1063/5.0143291
  28. 28
    Rebolini, E.; Toulouse, J. Range-separated time-dependent density-functional theory with a frequency-dependent second-order Bethe-Salpeter correlation kernel. J. Chem. Phys. 2016, 144, 094107  DOI: 10.1063/1.4943003
  29. 29
    Véril, M.; Scemama, A.; Caffarel, M.; Lipparini, F.; Boggio-Pasqua, M.; Jacquemin, D.; Loos, P. F. QUESTDB: A database of highly accurate excitation energies for the electronic structure community. WIREs Comput. Mol. Sci. 2021, 11, e1517  DOI: 10.1002/wcms.1517
  30. 30
    Gazizova, D.; Zhang, L.; Gull, E.; Leblanc, J. P. Feynman diagrammatics based on discrete pole representations: A path to renormalized perturbation theories. Phys. Rev. B 2024, 110, 075158  DOI: 10.1103/PhysRevB.110.075158
  31. 31
    Yeh, C. N.; Iskakov, S.; Zgid, D.; Gull, E. Fully self-consistent finite-temperature GW in Gaussian Bloch orbitals for solids. Phys. Rev. B 2022, 106, 235104  DOI: 10.1103/PhysRevB.106.235104
  32. 32
    Sriluckshmy, P. V.; Nusspickel, M.; Fertitta, E.; Booth, G. H. Fully algebraic and self-consistent effective dynamics in a static quantum embedding. Phys. Rev. B 2021, 103, 085131  DOI: 10.1103/PhysRevB.103.085131
  33. 33
    Weiße, A.; Wellein, G.; Alvermann, A.; Fehske, H. The kernel polynomial method. Rev. Mod. Phys. 2006, 78, 275  DOI: 10.1103/RevModPhys.78.275
  34. 34
    Backhouse, O. J.; Nusspickel, M.; Booth, G. H. Wave Function Perspective and Efficient Truncation of Renormalized Second-Order Perturbation Theory. J. Chem. Theory Comput. 2020, 16, 10901104,  DOI: 10.1021/acs.jctc.9b01182
  35. 35
    Backhouse, O. J.; Booth, G. H. Efficient Excitations and Spectra within a Perturbative Renormalization Approach. J. Chem. Theory Comput. 2020, 16, 62946304,  DOI: 10.1021/acs.jctc.0c00701
  36. 36
    Backhouse, O. J.; Santana-Bonilla, A.; Booth, G. H. Scalable and Predictive Spectra of Correlated Molecules with Moment Truncated Iterated Perturbation Theory. J. Phys. Chem. Lett. 2021, 12, 76507658,  DOI: 10.1021/acs.jpclett.1c02383
  37. 37
    Nusspickel, M.; Booth, G. H. Frequency-dependent and algebraic bath states for a dynamical mean-field theory with compact support. Phys. Rev. B 2020, 101, 045126  DOI: 10.1103/PhysRevB.101.045126
  38. 38
    Fertitta, E.; Booth, G. H. Rigorous wave function embedding with dynamical fluctuations. Phys. Rev. B 2018, 98, 235132  DOI: 10.1103/PhysRevB.98.235132
  39. 39
    Scott, C. J. C.; Booth, G. H. Extending density matrix embedding: A static two-particle theory. Phys. Rev. B 2021, 104, 245114  DOI: 10.1103/PhysRevB.104.245114
  40. 40
    Scott, C. J.; Booth, G. H. Rigorous Screened Interactions for Realistic Correlated Electron Systems. Phys. Rev. Lett. 2024, 132, 076401  DOI: 10.1103/PhysRevLett.132.076401
  41. 41
    Schambeck, M.; Golze, D.; Wilhelm, J. Solving multipole challenges in the GW100 benchmark enables precise low-scaling GW calculations. Phys. Rev. B 2024, 110, 125146  DOI: 10.1103/PhysRevB.110.125146
  42. 42
    Kotani, T.; Schilfgaarde, M. V.; Faleev, S. V. Quasiparticle self-consistent GW method: A basis for the independent-particle approximation. Phys. Rev. B 2007, 76, 165106  DOI: 10.1103/PhysRevB.76.165106
  43. 43
    Stan, A.; Dahlen, N. E.; van Leeuwen, R. Levels of self-consistency in the GW approximation. J. Chem. Phys. 2009, 130, 114105  DOI: 10.1063/1.3089567
  44. 44
    Pokhilko, P.; Yeh, C. N.; Morales, M. A.; Zgid, D. Tensor hypercontraction for fully self-consistent imaginary-time GF2 and GWSOX methods: Theory, implementation, and role of the Green’s function second-order exchange for intermolecular interactions. J. Chem. Phys. 2024, 161, 84108  DOI: 10.1063/5.0215954
  45. 45
    Bruneval, F.; Marques, M. A. L. Benchmarking the Starting Points of the GW Approximation for Molecules. J. Chem. Theory Comput. 2013, 9, 324329,  DOI: 10.1021/ct300835h
  46. 46
    Pokhilko, P.; Zgid, D. Broken-symmetry self-consistent GW approach: Degree of spin contamination and evaluation of effective exchange couplings in solid antiferromagnets. J. Chem. Phys. 2022, 157, 144101  DOI: 10.1063/5.0114080
  47. 47
    Ammar, A.; Marie, A.; Rodríguez-Mayorga, M.; Burton, H. G.; Loos, P. F. Can GW handle multireference systems?. J. Chem. Phys. 2024, 160, 114101  DOI: 10.1063/5.0196561
  48. 48
    Duchemin, I.; Blase, X. Joint approximate diagonalization approach to quasiparticle self-consistent GW calculations. J. Chem. Phys. 2025, 162, 054121  DOI: 10.1063/5.0250929
  49. 49
    Loos, P.-F.; Romaniello, P.; Berger, J. A. Green Functions and Self-Consistency: Insights From the Spherium Model. J. Chem. Theory Comput. 2018, 14, 30713082,  DOI: 10.1021/acs.jctc.8b00260
  50. 50
    Fukaya, T.; Nakatsukasa, Y.; Yanagisawa, Y.; Yamamoto, Y. In CholeskyQR2: A Simple and Communication-Avoiding Algorithm for Computing a Tall-Skinny QR Factorization on a Large-Scale Parallel System, 2014 5th Workshop on Latest Advances in Scalable Algorithms for Large-Scale Systems; IEEE, 2014; pp 3138.
  51. 51
    Fukaya, T.; Kannan, R.; Nakatsukasa, Y.; Yamamoto, Y.; Yanagisawa, Y.; Shifted Cholesky, Q. R. for Computing the QR Factorization of Ill-Conditioned Matrices. SIAM J. Sci. Comput. 2020, 42, A477A503,  DOI: 10.1137/18M1218212
  52. 52
    Kállay, M. A systematic way for the cost reduction of density fitting methods. J. Chem. Phys. 2014, 141, 244113  DOI: 10.1063/1.4905005
  53. 53
    Heßelmann, A.; Görling, A. Random phase approximation correlation energies with exact Kohn–Sham exchange. Mol. Phys. 2010, 108, 359372,  DOI: 10.1080/00268970903476662
  54. 54
    Chen, G. P.; Voora, V. K.; Agee, M. M.; Balasubramani, S. G.; Furche, F. Random-Phase Approximation Methods. Annu. Rev. Phys. Chem. 2017, 68, 421445,  DOI: 10.1146/annurev-physchem-040215-112308
  55. 55
    Furche, F. Developing the random phase approximation into a practical post-Kohn–Sham correlation model. J. Chem. Phys. 2008, 129, 114105  DOI: 10.1063/1.2977789
  56. 56
    Eshuis, H.; Yarkony, J.; Furche, F. Fast computation of molecular random phase approximation correlation energies using resolution of the identity and imaginary frequency integration. J. Chem. Phys. 2010, 132, 234114  DOI: 10.1063/1.3442749
  57. 57
    Sun, Q.; Berkelbach, T. C.; Blunt, N. S.; Booth, G. H.; Guo, S.; Li, Z.; Liu, J.; McClain, J. D.; Sayfutyarova, E. R.; Sharma, S.; Wouters, S.; Chan, G. K.-L. PySCF: the Python-based simulations of chemistry framework. WIREs Comput. Mol. Sci. 2018, 8, e1340  DOI: 10.1002/wcms.1340
  58. 58
    Sun, Q.; Zhang, X.; Banerjee, S. Recent developments in the PySCF program package. J. Chem. Phys. 2020, 153, 024109  DOI: 10.1063/5.0006074
  59. 59
    Yeh, C. N.; Morales, M. A. Low-Scaling Algorithms for GW and Constrained Random Phase Approximation Using Symmetry-Adapted Interpolative Separable Density Fitting. J. Chem. Theory Comput. 2024, 20, 31843198,  DOI: 10.1021/acs.jctc.4c00085
  60. 60
    Pokhilko, P.; Yeh, C.-N.; Morales, M. A.; Zgid, D. Tensor hypercontraction for self-consistent vertex corrected GW with static and dynamic screening; applications to molecules and solids with superexchange. J. Chem. Phys. 2025, 162, 244110  DOI: 10.1063/5.0269572
  61. 61
    Lu, J.; Thicke, K. Cubic scaling algorithms for RPA correlation using interpolative separable density fitting. J. Comput. Phys. 2017, 351, 187202,  DOI: 10.1016/j.jcp.2017.09.012
  62. 62
    Lewis, A. M.; Berkelbach, T. C. Vertex Corrections to the Polarizability Do Not Improve the GW Approximation for the Ionization Potential of Molecules. J. Chem. Theory Comput. 2019, 15, 29252932,  DOI: 10.1021/acs.jctc.8b00995
  63. 63
    Förster, A.; Visscher, L. Exploring the statically screened G3W2 correction to the GW self-energy: Charged excitations and total energies of finite systems. Phys. Rev. B 2022, 105, 125121  DOI: 10.1103/PhysRevB.105.125121
  64. 64
    Bruneval, F.; Förster, A. Fully Dynamic G3W2 Self-Energy for Finite Systems: Formulas and Benchmark. J. Chem. Theory Comput. 2024, 20, 32183230,  DOI: 10.1021/acs.jctc.4c00090
  65. 65
    von Barth, U.; Holm, B. Self-consistent GW0 results for the electron gas: Fixed screened potential W0 within the random-phase approximation. Phys. Rev. B 1996, 54, 8411  DOI: 10.1103/PhysRevB.54.8411
  66. 66
    Harsha, G.; Abraham, V.; Wen, M.; Zgid, D. Quasiparticle and fully self-consistent GW methods: an unbiased analysis using Gaussian orbitals. Phys. Rev. B 2024, 110, 235146  DOI: 10.1103/PhysRevB.110.235146
  67. 67
    Ren, X.; Merz, F.; Jiang, H.; Yao, Y.; Rampp, M.; Lederer, H.; Blum, V.; Scheffler, M. All-electron periodic G0W0 implementation with numerical atomic orbital basis functions: Algorithm and benchmarks. Phys. Rev. Mater. 2021, 5, 013807  DOI: 10.1103/PhysRevMaterials.5.013807
  68. 68
    Bruneval, F.; Rodriguez-Mayorga, M.; Rinke, P.; Dvorak, M. Improved One-Shot Total Energies from the Linearized GW Density Matrix. J. Chem. Theory Comput. 2021, 17, 21262136,  DOI: 10.1021/acs.jctc.0c01264
  69. 69
    Hybertsen, M. S.; Louie, S. G. First-Principles Theory of Quasiparticles: Calculation of Band Gaps in Semiconductors and Insulators. Phys. Rev. Lett. 1985, 55, 14181421,  DOI: 10.1103/PhysRevLett.55.1418
  70. 70
    Faleev, S. V.; van Schilfgaarde, M.; Kotani, T. All-electron self-consistent GW approximation: Application to Si, MnO, and NiO. Phys. Rev. Lett. 2004, 93, 126406  DOI: 10.1103/PhysRevLett.93.126406
  71. 71
    Shishkin, M.; Kresse, G. Self-consistent GW calculations for semiconductors and insulators. Phys. Rev. B 2007, 75, 235102  DOI: 10.1103/PhysRevB.75.235102
  72. 72
    Blase, X.; Attaccalite, C.; Olevano, V. First-principles GW calculations for fullerenes, porphyrins, phtalocyanine, and other molecules of interest for organic photovoltaic applications. Phys. Rev. B 2011, 83, 115103  DOI: 10.1103/PhysRevB.83.115103
  73. 73
    Kaplan, F.; Weigend, F.; Evers, F.; Setten, M. J. V. Off-diagonal self-energy terms and partially self-consistency in GW calculations for single molecules: Efficient implementation and quantitative effects on ionization potentials. J. Chem. Theory Comput. 2015, 11, 51525160,  DOI: 10.1021/acs.jctc.5b00394
  74. 74
    van Schilfgaarde, M.; Kotani, T.; Faleev, S. Quasiparticle Self-Consistent GW Theory. Phys. Rev. Lett. 2006, 96, 226402  DOI: 10.1103/PhysRevLett.96.226402
  75. 75
    Kotani, T.; Schilfgaarde, M.; Faleev, S. V.; Chantis, A. Quasiparticle self-consistent GW method: a short summary. J. Phys.: Condens. Matter 2007, 19, 365236  DOI: 10.1088/0953-8984/19/36/365236
  76. 76
    Kutepov, A.; Haule, K.; Savrasov, S. Y.; Kotliar, G. Electronic structure of Pu and Am metals by self-consistent relativistic GW method. Phys. Rev. B 2012, 85, 155129  DOI: 10.1103/PhysRevB.85.155129
  77. 77
    Koval, P.; Foerster, D.; Sánchez-Portal, D. Fully self-consistent GW and quasiparticle self-consistent GW for molecules. Phys. Rev. B 2014, 89, 155417  DOI: 10.1103/PhysRevB.89.155417
  78. 78
    Monino, E.; Loos, P.-F. Unphysical discontinuities, intruder states and regularization in GW methods. J. Chem. Phys. 2022, 156, 231101  DOI: 10.1063/5.0089317
  79. 79
    Marie, A.; Loos, P. F. A Similarity Renormalization Group Approach to Green’s Function Methods. J. Chem. Theory Comput. 2023, 19, 39433957,  DOI: 10.1021/acs.jctc.3c00281
  80. 80
    Holm, B.; von Barth, U. Fully self-consistent GW self-energy of the electron gas. Phys. Rev. B 1998, 57, 2108  DOI: 10.1103/PhysRevB.57.2108
  81. 81
    Stan, A.; Dahlen, N. E.; van Leeuwen, R. Fully self-consistent GW calculations for atoms and molecules. Europhys. Lett. 2006, 76, 298304,  DOI: 10.1209/epl/i2006-10266-6
  82. 82
    Caruso, F.; Rinke, P.; Ren, X.; Scheffler, M.; Rubio, A. Unified description of ground and excited states of finite systems: The self-consistent GW approach. Phys. Rev. B 2012, 86, 81102  DOI: 10.1103/PhysRevB.86.081102
  83. 83
    Grumet, M.; Liu, P.; Kaltak, M.; Klimeš, J.; Kresse, G. Beyond the quasiparticle approximation: Fully self-consistent GW calculations. Phys. Rev. B 2018, 98, 155143  DOI: 10.1103/PhysRevB.98.155143
  84. 84
    Pulay, P. Convergence acceleration of iterative sequences. the case of scf iteration. Chem. Phys. Lett. 1980, 73, 393398,  DOI: 10.1016/0009-2614(80)80396-4
  85. 85
    Pulay, P. Improved SCF convergence acceleration. J. Comput. Chem. 1982, 3, 556560,  DOI: 10.1002/jcc.540030413
  86. 86
    Bruneval, F.; Dattani, N.; van Setten, M. J. The GW Miracle in Many-Body Perturbation Theory for the Ionization Potential of Molecules. Front. Chem. 2021, 9, 749779  DOI: 10.3389/fchem.2021.749779
  87. 87
    Denawi, A. H.; Bruneval, F.; Torrent, M.; Rodríguez-Mayorga, M. GW density matrix for estimation of self-consistent GW total energies in solids. Phys. Rev. B 2023, 108, 125107  DOI: 10.1103/PhysRevB.108.125107
  88. 88
    van Setten, M. J.; Caruso, F.; Sharifzadeh, S.; Ren, X.; Scheffler, M.; Liu, F.; Lischner, J.; Lin, L.; Deslippe, J. R.; Louie, S. G.; Yang, C.; Weigend, F.; Neaton, J. B.; Evers, F.; Rinke, P. GW100: Benchmarking G0W0 for Molecular Systems. J. Chem. Theory Comput. 2015, 11, 56655687,  DOI: 10.1021/acs.jctc.5b00453
  89. 89
    Zhu, T.; Chan, G. K.-L. All-Electron Gaussian-Based G0W0 for Valence and Core Excitation Energies of Periodic Systems. J. Chem. Theory Comput. 2021, 17, 727741,  DOI: 10.1021/acs.jctc.0c00704
  90. 90
    Caruso, F.; Dauth, M.; van Setten, M. J.; Rinke, P. Benchmark of GW Approaches for the GW100 Test Set. J. Chem. Theory Comput. 2016, 12, 50765087,  DOI: 10.1021/acs.jctc.6b00774
  91. 91
    Wen, M.; Abraham, V.; Harsha, G.; Shee, A.; Whaley, K. B.; Zgid, D. Comparing Self-Consistent GW and Vertex-Corrected G0W0 (G0W0Γ) Accuracy for Molecular Ionization Potentials. J. Chem. Theory Comput. 2024, 20, 31093120,  DOI: 10.1021/acs.jctc.3c01279
  92. 92
    Neese, F.; Wennmohs, F.; Becker, U.; Riplinger, C. The ORCA quantum chemistry program package. J. Chem. Phys. 2020, 152, 224108  DOI: 10.1063/5.0004608
  93. 93
    Krause, K.; Harding, M. E.; Klopper, W. Coupled-cluster reference values for the GW27 and GW100 test sets for the assessment of GW methods. Mol. Phys. 2015, 113, 19521960,  DOI: 10.1080/00268976.2015.1025113
  94. 94
    Lange, M. F.; Berkelbach, T. C. On the Relation between Equation-of-Motion Coupled-Cluster Theory and the GW Approximation. J. Chem. Theory Comput. 2018, 14, 42244236,  DOI: 10.1021/acs.jctc.8b00455
  95. 95
    Bauschlicher, C. W. The convergence of the coupled cluster approach for MgO. Chem. Phys. Lett. 2018, 711, 2731,  DOI: 10.1016/j.cplett.2018.09.010
  96. 96
    Shafizadeh, N.; Ha-Thi, M. H.; Soep, B.; Gaveau, M. A.; Piuzzi, F.; Pothier, C. Spectral characterization in a supersonic beam of neutral chlorophyll a evaporated from spinach leaves. J. Chem. Phys. 2011, 135, 114303  DOI: 10.1063/1.3637048
  97. 97
    Loos, P. F.; Pradines, B.; Scemama, A.; Giner, E.; Toulouse, J. Density-Based Basis-Set Incompleteness Correction for GW Methods. J. Chem. Theory Comput. 2020, 16, 10181028,  DOI: 10.1021/acs.jctc.9b01067
  98. 98
    Hashemi, Z.; Leppert, L. Assessment of the ab initio Bethe-Salpeter equation approach for the low-lying excitation energies of bacteriochlorophylls and chlorophylls. J. Phys. Chem. A 2021, 125, 21632172,  DOI: 10.1021/acs.jpca.1c01240
  99. 99
    Förster, A.; Visscher, L. Quasiparticle Self-Consistent GW-Bethe-Salpeter Equation Calculations for Large Chromophoric Systems. J. Chem. Theory Comput. 2022, 18, 67796793,  DOI: 10.1021/acs.jctc.2c00531

Cited By

Click to copy section linkSection link copied!

This article is cited by 1 publications.

  1. Andrew Zhu, Arman Nejad, Poramas Komonvasee, Kesha Sorathia, David P. Tew. DLPNO-MP2 for periodic systems. II. Megacell embedding. The Journal of Chemical Physics 2025, 163 (21) https://doi.org/10.1063/5.0290819

Journal of Chemical Theory and Computation

Cite this: J. Chem. Theory Comput. 2025, 21, 18, 8963–8981
Click to copy citationCitation copied!
https://doi.org/10.1021/acs.jctc.5c00657
Published August 30, 2025

Copyright © 2025 The Authors. Published by American Chemical Society. This publication is licensed under

CC-BY 4.0 .

Article Views

1376

Altmetric

-

Citations

Learn about these metrics

Article Views are the COUNTER-compliant sum of full text article downloads since November 2008 (both PDF and HTML) across all institutions and individuals. These metrics are regularly updated to reflect usage leading up to the last few days.

Citations are the number of other articles citing this article, calculated by Crossref and updated daily. Find more information about Crossref citation counts.

The Altmetric Attention Score is a quantitative measure of the attention that a research article has received online. Clicking on the donut icon will load a page at altmetric.com with additional details about the score and the social media presence for the given article. Find more information on the Altmetric Attention Score and how the score is calculated.

  • Abstract

    Figure 1

    Figure 1. Performance benchmark for the moment-conserving G0W0 implementation, indicating CPU time (top) and memory usage (bottom) for increasing numbers of atomic orbitals in linear alkane chains up to C32H66 in a cc-pVDZ basis, with maximum moment order nmommax = 7, obtaining the full G0W0 spectrum for each calculation. No natural auxiliary orbital compression was used in this consideration of resource scaling. Lines are shown for both TDA and RPA screening, and for Hartree–Fock via PySCF for comparison.

    Figure 2

    Figure 2. Convergence of the IP of Borane (BH3) with respect to the number of conserved moments (nmommax) of the self-energy in a def2-TZVPP basis set for single-shot G0W0, with RPA screening (left) and TDA (right). A range of mean-field starting points are considered, as well as reference values for RPA screening from PySCF, implementing an O[N6] full-frequency algorithm to remove any grid approximations. (89) The remaining discrepancy likely comes from the diagonal approximation to the self-energy enforced in the reference values.

    Figure 3

    Figure 3. Convergence of the IP of borane (BH3) with respect to the number of conserved moments (nmommax) for self-consistent implementations of moment-conserved GW across HF and PBE reference states. We consider RPA (left) and TDA (right) screening on a def2-TZVPP basis. Reference fully self-consistent scGW values are included from Caruso et al. (90) (ref A) and Wen et al. (91) (ref B), relying on self-consistency on the Matsubara axis, followed by analytic continuation.

    Figure 4

    Figure 4. Convergence of the MAE for IP (x-axis) and EA (y-axis) across the GW100 test set with respect to CCSD(T) reference values for many of the self-consistent GW approaches considered. Numbers in the circles represent the maximum order of the conserved self-energy moments for each method, showing convergence to the full-frequency limit. The left plot shows the aggregated results for RPA screening, while the right plot is for TDA screening. The inset of each plot depicts the aggregated MAE for moment order 7 across the different moment-conserving GW variants.

    Figure 5

    Figure 5. Histograms of the signed errors for IP and EA with G0W0 and fsGW relative to CCSD(T) over the GW100 set. Results presented for maximum moment order of 9 with Gaussians fit to the error distribution shown as dashed lines. The left plot shows RPA screening, right shows TDA screening with IP results shown top and EA bottom. The mean signed error (μ) and standard deviation (σ) for each method are shown in the legend.

    Figure 6

    Figure 6. Convergence of the moment-conserving G0W0 IP (left) and EA (middle) and their quasiparticle weights (right) with increasing conserved moment order for the Chlorophyll A molecule in an aug-cc-pVDZ basis set. Also included are the mean-field orbital energies corresponding to the IP and EA at the level of HF and DFT with a B3LYP functional. In addition, we include an experimental estimate of the IP energy from ref (96), with associated experimental uncertainty shown by the gray shaded region.

    Figure 7

    Figure 7. Dyson orbitals for the HOMO (left) and LUMO (right) for chlorophyll in an aug-cc-pVDZ basis set for the moment-conserving G0W0 method, using RPA and TDA screening, with maximum moment order nmommax = 11.

    Figure 8

    Figure 8. Spectral function for Chlorophyll A in an aug-cc-pVDZ basis set for the moment-conserving GW method, using RPA and TDA screening, with maximum moment order nmommax = 11. Thinner lines show the Hartree–Fock and B3LYP spectral functions. IP and EA locations are shown for the moment-conserving G0W0@TDA.

    Figure 9

    Figure 9. Convergence of the IP of carbon monoxide (CO) with respect to the number of conserved moments (nmommax) of the self-energy in a def2-TZVPP basis set for single-shot G0W0, with RPA screening (left) and TDA (right). A range of mean-field starting points are considered, as well as reference values for RPA screening from PySCF, implementing an O[N6] full-frequency algorithm to remove any grid approximations. (89) The remaining discrepancy likely comes from the diagonal approximation to the self-energy enforced in the reference values.

    Figure 10

    Figure 10. Convergence of the IP of carbon monoxide (CO) using the def2-TZVPP basis set with respect to the number of conserved moments (nmommax) for various self-consistent implementations across HF and PBE starting points, with RPA screening (left) and TDA (right). Reference fully self-consistent GW values are included from Caruso et al. (90) (ref A) and Wen et al. (91) (ref B), where the convergence takes place on the Matsubara axis. The scGW results for RPA screening are limited to 15 moments due to convergence issues for higher moments.

  • References


    This article references 99 other publications.

    1. 1
      Marie, A.; Ammar, A.; Loos, P.-F. Novel Treatments of Strong Correlations; Quintana, R. A. M.; Stanton, J. F., Eds.; Academic Press, 2024; Vol. 90, pp 157184  DOI: 10.1016/bs.aiq.2024.04.001 .
    2. 2
      Reining, L. The GW approximation: content, successes and limitations. WIREs Comput. Mol. Sci. 2018, 8, e1344  DOI: 10.1002/wcms.1344
    3. 3
      Golze, D.; Dvorak, M.; Rinke, P. The GW Compendium: A Practical Guide to Theoretical Photoemission Spectroscopy. Front. Chem. 2019, 7, 377  DOI: 10.3389/fchem.2019.00377
    4. 4
      van Setten, M. J.; Weigend, F.; Evers, F. The GW-method for quantum chemistry applications: Theory and implementation. J. Chem. Theory Comput. 2013, 9, 232246,  DOI: 10.1021/ct300648t
    5. 5
      Hedin, L. New Method for Calculating the One-Particle Green’s Function with Application to the Electron-Gas Problem. Phys. Rev. 1965, 139, A796  DOI: 10.1103/PhysRev.139.A796
    6. 6
      Hedin, L. On correlation effects in electron spectroscopies and the GW approximation. J. Phys.: Condens. Matter 1999, 11, R489R528,  DOI: 10.1088/0953-8984/11/42/201
    7. 7
      Monino, E.; Loos, P. F. Connections and performances of Green’s function methods for charged and neutral excitations. J. Chem. Phys. 2023, 159, 34105  DOI: 10.1063/5.0159853
    8. 8
      Véril, M.; Romaniello, P.; Berger, J. A.; Loos, P. F. Unphysical Discontinuities in GW Methods. J. Chem. Theory Comput. 2018, 14, 52205228,  DOI: 10.1021/acs.jctc.8b00745
    9. 9
      Quintero-Monsebaiz, R.; Monino, E.; Marie, A.; Loos, P.-F. Connections between many-body perturbation and coupled-cluster theories. J. Chem. Phys. 2022, 157, 231102  DOI: 10.1063/5.0130837
    10. 10
      Bintrim, S. J.; Berkelbach, T. C. Full-frequency GW without frequency. J. Chem. Phys. 2021, 154, 041101  DOI: 10.1063/5.0035141
    11. 11
      Pokhilko, P.; Zgid, D. Interpretation of multiple solutions in fully iterative GF2 and GW schemes using local analysis of two-particle density matrices. J. Chem. Phys. 2021, 155, 024101  DOI: 10.1063/5.0055191
    12. 12
      Duchemin, I.; Blase, X. Robust Analytic-Continuation Approach to Many-Body GW Calculations. J. Chem. Theory Comput. 2020, 16, 17421756,  DOI: 10.1021/acs.jctc.9b01235
    13. 13
      Bruneval, F. Ionization energy of atoms obtained from GW self-energy or from random phase approximation total energies. J. Chem. Phys. 2012, 136, 194107  DOI: 10.1063/1.4718428
    14. 14
      Foerster, D.; Koval, P.; Snchez-Portal, D. An O(N3) implementation of Hedins GW approximation for molecules. J. Chem. Phys. 2011, 135, 074105  DOI: 10.1063/1.3624731
    15. 15
      Liu, P.; Kaltak, M.; Klimeš, J. c. v.; Kresse, G. Cubic scaling GW: Towards fast quasiparticle calculations. Phys. Rev. B 2016, 94, 165109  DOI: 10.1103/PhysRevB.94.165109
    16. 16
      Ma, H.; Wang, L.; Wan, L.; Li, J.; Qin, X.; Liu, J.; Hu, W.; Lin, L.; Yang, C.; Yang, J. Realizing Effective Cubic-Scaling Coulomb Hole plus Screened Exchange Approximation in Periodic Systems via Interpolative Separable Density Fitting with a Plane-Wave Basis Set. J. Phys. Chem. A 2021, 125, 75457557,  DOI: 10.1021/acs.jpca.1c03762
    17. 17
      Duchemin, I.; Blase, X. Cubic-Scaling All-Electron GW Calculations with a Separable Density-Fitting Space-Time Approach. J. Chem. Theory Comput. 2021, 17, 23832393,  DOI: 10.1021/acs.jctc.1c00101
    18. 18
      Yeh, C.-N.; Morales, M. A. Low-Scaling Algorithm for the Random Phase Approximation Using Tensor Hypercontraction with k-point Sampling. J. Chem. Theory Comput. 2023, 19, 61976207,  DOI: 10.1021/acs.jctc.3c00615
    19. 19
      Kutepov, A. Self-consistent GW method: O(N) algorithm for polarizability and self energy. Comput. Phys. Commun. 2020, 257, 107502  DOI: 10.1016/j.cpc.2020.107502
    20. 20
      Schurkus, H. F.; Ochsenfeld, C. Communication: An effective linear-scaling atomic-orbital reformulation of the random-phase approximation using a contracted double-Laplace transformation. J. Chem. Phys. 2016, 144, 031101  DOI: 10.1063/1.4939841
    21. 21
      Tölle, J.; Chan, G. K.-L. AB-G0W0: A practical G0W0 method without frequency integration based on an auxiliary boson expansion. J. Chem. Phys. 2024, 160, 164108  DOI: 10.1063/5.0195934
    22. 22
      Li, D.; Polizzi, E. Nonlinear eigenvalue algorithm for GW quasiparticle equations. Phys. Rev. B 2025, 111, 045137  DOI: 10.1103/PhysRevB.111.045137
    23. 23
      Tölle, J.; Niemeyer, N.; Neugebauer, J. Accelerating Analytic-Continuation GW Calculations with a Laplace Transform and Natural Auxiliary Functions. J. Chem. Theory Comput. 2024, 20, 20222032,  DOI: 10.1021/acs.jctc.3c01264
    24. 24
      Tölle, J.; Chan, G. K.-L. Exact relationships between the GW approximation and equation-of-motion coupled-cluster theories through the quasi-boson formalism. J. Chem. Phys. 2023, 158, 124123  DOI: 10.1063/5.0139716
    25. 25
      Gao, W.; Tang, Z.; Zhao, J.; Chelikowsky, J. R. Efficient Full-Frequency GW Calculations Using a Lanczos Method. Phys. Rev. Lett. 2024, 132, 126402  DOI: 10.1103/PhysRevLett.132.126402
    26. 26
      Backhouse, O. J.; Booth, G. H. Constructing “Full-Frequency” Spectra via Moment Constraints for Coupled Cluster Green’s Functions. J. Chem. Theory Comput. 2022, 18, 66226636,  DOI: 10.1021/acs.jctc.2c00670
    27. 27
      Scott, C. J. C.; Backhouse, O. J.; Booth, G. H. A “moment-conserving” reformulation of GW theory. J. Chem. Phys. 2023, 158, 124102  DOI: 10.1063/5.0143291
    28. 28
      Rebolini, E.; Toulouse, J. Range-separated time-dependent density-functional theory with a frequency-dependent second-order Bethe-Salpeter correlation kernel. J. Chem. Phys. 2016, 144, 094107  DOI: 10.1063/1.4943003
    29. 29
      Véril, M.; Scemama, A.; Caffarel, M.; Lipparini, F.; Boggio-Pasqua, M.; Jacquemin, D.; Loos, P. F. QUESTDB: A database of highly accurate excitation energies for the electronic structure community. WIREs Comput. Mol. Sci. 2021, 11, e1517  DOI: 10.1002/wcms.1517
    30. 30
      Gazizova, D.; Zhang, L.; Gull, E.; Leblanc, J. P. Feynman diagrammatics based on discrete pole representations: A path to renormalized perturbation theories. Phys. Rev. B 2024, 110, 075158  DOI: 10.1103/PhysRevB.110.075158
    31. 31
      Yeh, C. N.; Iskakov, S.; Zgid, D.; Gull, E. Fully self-consistent finite-temperature GW in Gaussian Bloch orbitals for solids. Phys. Rev. B 2022, 106, 235104  DOI: 10.1103/PhysRevB.106.235104
    32. 32
      Sriluckshmy, P. V.; Nusspickel, M.; Fertitta, E.; Booth, G. H. Fully algebraic and self-consistent effective dynamics in a static quantum embedding. Phys. Rev. B 2021, 103, 085131  DOI: 10.1103/PhysRevB.103.085131
    33. 33
      Weiße, A.; Wellein, G.; Alvermann, A.; Fehske, H. The kernel polynomial method. Rev. Mod. Phys. 2006, 78, 275  DOI: 10.1103/RevModPhys.78.275
    34. 34
      Backhouse, O. J.; Nusspickel, M.; Booth, G. H. Wave Function Perspective and Efficient Truncation of Renormalized Second-Order Perturbation Theory. J. Chem. Theory Comput. 2020, 16, 10901104,  DOI: 10.1021/acs.jctc.9b01182
    35. 35
      Backhouse, O. J.; Booth, G. H. Efficient Excitations and Spectra within a Perturbative Renormalization Approach. J. Chem. Theory Comput. 2020, 16, 62946304,  DOI: 10.1021/acs.jctc.0c00701
    36. 36
      Backhouse, O. J.; Santana-Bonilla, A.; Booth, G. H. Scalable and Predictive Spectra of Correlated Molecules with Moment Truncated Iterated Perturbation Theory. J. Phys. Chem. Lett. 2021, 12, 76507658,  DOI: 10.1021/acs.jpclett.1c02383
    37. 37
      Nusspickel, M.; Booth, G. H. Frequency-dependent and algebraic bath states for a dynamical mean-field theory with compact support. Phys. Rev. B 2020, 101, 045126  DOI: 10.1103/PhysRevB.101.045126
    38. 38
      Fertitta, E.; Booth, G. H. Rigorous wave function embedding with dynamical fluctuations. Phys. Rev. B 2018, 98, 235132  DOI: 10.1103/PhysRevB.98.235132
    39. 39
      Scott, C. J. C.; Booth, G. H. Extending density matrix embedding: A static two-particle theory. Phys. Rev. B 2021, 104, 245114  DOI: 10.1103/PhysRevB.104.245114
    40. 40
      Scott, C. J.; Booth, G. H. Rigorous Screened Interactions for Realistic Correlated Electron Systems. Phys. Rev. Lett. 2024, 132, 076401  DOI: 10.1103/PhysRevLett.132.076401
    41. 41
      Schambeck, M.; Golze, D.; Wilhelm, J. Solving multipole challenges in the GW100 benchmark enables precise low-scaling GW calculations. Phys. Rev. B 2024, 110, 125146  DOI: 10.1103/PhysRevB.110.125146
    42. 42
      Kotani, T.; Schilfgaarde, M. V.; Faleev, S. V. Quasiparticle self-consistent GW method: A basis for the independent-particle approximation. Phys. Rev. B 2007, 76, 165106  DOI: 10.1103/PhysRevB.76.165106
    43. 43
      Stan, A.; Dahlen, N. E.; van Leeuwen, R. Levels of self-consistency in the GW approximation. J. Chem. Phys. 2009, 130, 114105  DOI: 10.1063/1.3089567
    44. 44
      Pokhilko, P.; Yeh, C. N.; Morales, M. A.; Zgid, D. Tensor hypercontraction for fully self-consistent imaginary-time GF2 and GWSOX methods: Theory, implementation, and role of the Green’s function second-order exchange for intermolecular interactions. J. Chem. Phys. 2024, 161, 84108  DOI: 10.1063/5.0215954
    45. 45
      Bruneval, F.; Marques, M. A. L. Benchmarking the Starting Points of the GW Approximation for Molecules. J. Chem. Theory Comput. 2013, 9, 324329,  DOI: 10.1021/ct300835h
    46. 46
      Pokhilko, P.; Zgid, D. Broken-symmetry self-consistent GW approach: Degree of spin contamination and evaluation of effective exchange couplings in solid antiferromagnets. J. Chem. Phys. 2022, 157, 144101  DOI: 10.1063/5.0114080
    47. 47
      Ammar, A.; Marie, A.; Rodríguez-Mayorga, M.; Burton, H. G.; Loos, P. F. Can GW handle multireference systems?. J. Chem. Phys. 2024, 160, 114101  DOI: 10.1063/5.0196561
    48. 48
      Duchemin, I.; Blase, X. Joint approximate diagonalization approach to quasiparticle self-consistent GW calculations. J. Chem. Phys. 2025, 162, 054121  DOI: 10.1063/5.0250929
    49. 49
      Loos, P.-F.; Romaniello, P.; Berger, J. A. Green Functions and Self-Consistency: Insights From the Spherium Model. J. Chem. Theory Comput. 2018, 14, 30713082,  DOI: 10.1021/acs.jctc.8b00260
    50. 50
      Fukaya, T.; Nakatsukasa, Y.; Yanagisawa, Y.; Yamamoto, Y. In CholeskyQR2: A Simple and Communication-Avoiding Algorithm for Computing a Tall-Skinny QR Factorization on a Large-Scale Parallel System, 2014 5th Workshop on Latest Advances in Scalable Algorithms for Large-Scale Systems; IEEE, 2014; pp 3138.
    51. 51
      Fukaya, T.; Kannan, R.; Nakatsukasa, Y.; Yamamoto, Y.; Yanagisawa, Y.; Shifted Cholesky, Q. R. for Computing the QR Factorization of Ill-Conditioned Matrices. SIAM J. Sci. Comput. 2020, 42, A477A503,  DOI: 10.1137/18M1218212
    52. 52
      Kállay, M. A systematic way for the cost reduction of density fitting methods. J. Chem. Phys. 2014, 141, 244113  DOI: 10.1063/1.4905005
    53. 53
      Heßelmann, A.; Görling, A. Random phase approximation correlation energies with exact Kohn–Sham exchange. Mol. Phys. 2010, 108, 359372,  DOI: 10.1080/00268970903476662
    54. 54
      Chen, G. P.; Voora, V. K.; Agee, M. M.; Balasubramani, S. G.; Furche, F. Random-Phase Approximation Methods. Annu. Rev. Phys. Chem. 2017, 68, 421445,  DOI: 10.1146/annurev-physchem-040215-112308
    55. 55
      Furche, F. Developing the random phase approximation into a practical post-Kohn–Sham correlation model. J. Chem. Phys. 2008, 129, 114105  DOI: 10.1063/1.2977789
    56. 56
      Eshuis, H.; Yarkony, J.; Furche, F. Fast computation of molecular random phase approximation correlation energies using resolution of the identity and imaginary frequency integration. J. Chem. Phys. 2010, 132, 234114  DOI: 10.1063/1.3442749
    57. 57
      Sun, Q.; Berkelbach, T. C.; Blunt, N. S.; Booth, G. H.; Guo, S.; Li, Z.; Liu, J.; McClain, J. D.; Sayfutyarova, E. R.; Sharma, S.; Wouters, S.; Chan, G. K.-L. PySCF: the Python-based simulations of chemistry framework. WIREs Comput. Mol. Sci. 2018, 8, e1340  DOI: 10.1002/wcms.1340
    58. 58
      Sun, Q.; Zhang, X.; Banerjee, S. Recent developments in the PySCF program package. J. Chem. Phys. 2020, 153, 024109  DOI: 10.1063/5.0006074
    59. 59
      Yeh, C. N.; Morales, M. A. Low-Scaling Algorithms for GW and Constrained Random Phase Approximation Using Symmetry-Adapted Interpolative Separable Density Fitting. J. Chem. Theory Comput. 2024, 20, 31843198,  DOI: 10.1021/acs.jctc.4c00085
    60. 60
      Pokhilko, P.; Yeh, C.-N.; Morales, M. A.; Zgid, D. Tensor hypercontraction for self-consistent vertex corrected GW with static and dynamic screening; applications to molecules and solids with superexchange. J. Chem. Phys. 2025, 162, 244110  DOI: 10.1063/5.0269572
    61. 61
      Lu, J.; Thicke, K. Cubic scaling algorithms for RPA correlation using interpolative separable density fitting. J. Comput. Phys. 2017, 351, 187202,  DOI: 10.1016/j.jcp.2017.09.012
    62. 62
      Lewis, A. M.; Berkelbach, T. C. Vertex Corrections to the Polarizability Do Not Improve the GW Approximation for the Ionization Potential of Molecules. J. Chem. Theory Comput. 2019, 15, 29252932,  DOI: 10.1021/acs.jctc.8b00995
    63. 63
      Förster, A.; Visscher, L. Exploring the statically screened G3W2 correction to the GW self-energy: Charged excitations and total energies of finite systems. Phys. Rev. B 2022, 105, 125121  DOI: 10.1103/PhysRevB.105.125121
    64. 64
      Bruneval, F.; Förster, A. Fully Dynamic G3W2 Self-Energy for Finite Systems: Formulas and Benchmark. J. Chem. Theory Comput. 2024, 20, 32183230,  DOI: 10.1021/acs.jctc.4c00090
    65. 65
      von Barth, U.; Holm, B. Self-consistent GW0 results for the electron gas: Fixed screened potential W0 within the random-phase approximation. Phys. Rev. B 1996, 54, 8411  DOI: 10.1103/PhysRevB.54.8411
    66. 66
      Harsha, G.; Abraham, V.; Wen, M.; Zgid, D. Quasiparticle and fully self-consistent GW methods: an unbiased analysis using Gaussian orbitals. Phys. Rev. B 2024, 110, 235146  DOI: 10.1103/PhysRevB.110.235146
    67. 67
      Ren, X.; Merz, F.; Jiang, H.; Yao, Y.; Rampp, M.; Lederer, H.; Blum, V.; Scheffler, M. All-electron periodic G0W0 implementation with numerical atomic orbital basis functions: Algorithm and benchmarks. Phys. Rev. Mater. 2021, 5, 013807  DOI: 10.1103/PhysRevMaterials.5.013807
    68. 68
      Bruneval, F.; Rodriguez-Mayorga, M.; Rinke, P.; Dvorak, M. Improved One-Shot Total Energies from the Linearized GW Density Matrix. J. Chem. Theory Comput. 2021, 17, 21262136,  DOI: 10.1021/acs.jctc.0c01264
    69. 69
      Hybertsen, M. S.; Louie, S. G. First-Principles Theory of Quasiparticles: Calculation of Band Gaps in Semiconductors and Insulators. Phys. Rev. Lett. 1985, 55, 14181421,  DOI: 10.1103/PhysRevLett.55.1418
    70. 70
      Faleev, S. V.; van Schilfgaarde, M.; Kotani, T. All-electron self-consistent GW approximation: Application to Si, MnO, and NiO. Phys. Rev. Lett. 2004, 93, 126406  DOI: 10.1103/PhysRevLett.93.126406
    71. 71
      Shishkin, M.; Kresse, G. Self-consistent GW calculations for semiconductors and insulators. Phys. Rev. B 2007, 75, 235102  DOI: 10.1103/PhysRevB.75.235102
    72. 72
      Blase, X.; Attaccalite, C.; Olevano, V. First-principles GW calculations for fullerenes, porphyrins, phtalocyanine, and other molecules of interest for organic photovoltaic applications. Phys. Rev. B 2011, 83, 115103  DOI: 10.1103/PhysRevB.83.115103
    73. 73
      Kaplan, F.; Weigend, F.; Evers, F.; Setten, M. J. V. Off-diagonal self-energy terms and partially self-consistency in GW calculations for single molecules: Efficient implementation and quantitative effects on ionization potentials. J. Chem. Theory Comput. 2015, 11, 51525160,  DOI: 10.1021/acs.jctc.5b00394
    74. 74
      van Schilfgaarde, M.; Kotani, T.; Faleev, S. Quasiparticle Self-Consistent GW Theory. Phys. Rev. Lett. 2006, 96, 226402  DOI: 10.1103/PhysRevLett.96.226402
    75. 75
      Kotani, T.; Schilfgaarde, M.; Faleev, S. V.; Chantis, A. Quasiparticle self-consistent GW method: a short summary. J. Phys.: Condens. Matter 2007, 19, 365236  DOI: 10.1088/0953-8984/19/36/365236
    76. 76
      Kutepov, A.; Haule, K.; Savrasov, S. Y.; Kotliar, G. Electronic structure of Pu and Am metals by self-consistent relativistic GW method. Phys. Rev. B 2012, 85, 155129  DOI: 10.1103/PhysRevB.85.155129
    77. 77
      Koval, P.; Foerster, D.; Sánchez-Portal, D. Fully self-consistent GW and quasiparticle self-consistent GW for molecules. Phys. Rev. B 2014, 89, 155417  DOI: 10.1103/PhysRevB.89.155417
    78. 78
      Monino, E.; Loos, P.-F. Unphysical discontinuities, intruder states and regularization in GW methods. J. Chem. Phys. 2022, 156, 231101  DOI: 10.1063/5.0089317
    79. 79
      Marie, A.; Loos, P. F. A Similarity Renormalization Group Approach to Green’s Function Methods. J. Chem. Theory Comput. 2023, 19, 39433957,  DOI: 10.1021/acs.jctc.3c00281
    80. 80
      Holm, B.; von Barth, U. Fully self-consistent GW self-energy of the electron gas. Phys. Rev. B 1998, 57, 2108  DOI: 10.1103/PhysRevB.57.2108
    81. 81
      Stan, A.; Dahlen, N. E.; van Leeuwen, R. Fully self-consistent GW calculations for atoms and molecules. Europhys. Lett. 2006, 76, 298304,  DOI: 10.1209/epl/i2006-10266-6
    82. 82
      Caruso, F.; Rinke, P.; Ren, X.; Scheffler, M.; Rubio, A. Unified description of ground and excited states of finite systems: The self-consistent GW approach. Phys. Rev. B 2012, 86, 81102  DOI: 10.1103/PhysRevB.86.081102
    83. 83
      Grumet, M.; Liu, P.; Kaltak, M.; Klimeš, J.; Kresse, G. Beyond the quasiparticle approximation: Fully self-consistent GW calculations. Phys. Rev. B 2018, 98, 155143  DOI: 10.1103/PhysRevB.98.155143
    84. 84
      Pulay, P. Convergence acceleration of iterative sequences. the case of scf iteration. Chem. Phys. Lett. 1980, 73, 393398,  DOI: 10.1016/0009-2614(80)80396-4
    85. 85
      Pulay, P. Improved SCF convergence acceleration. J. Comput. Chem. 1982, 3, 556560,  DOI: 10.1002/jcc.540030413
    86. 86
      Bruneval, F.; Dattani, N.; van Setten, M. J. The GW Miracle in Many-Body Perturbation Theory for the Ionization Potential of Molecules. Front. Chem. 2021, 9, 749779  DOI: 10.3389/fchem.2021.749779
    87. 87
      Denawi, A. H.; Bruneval, F.; Torrent, M.; Rodríguez-Mayorga, M. GW density matrix for estimation of self-consistent GW total energies in solids. Phys. Rev. B 2023, 108, 125107  DOI: 10.1103/PhysRevB.108.125107
    88. 88
      van Setten, M. J.; Caruso, F.; Sharifzadeh, S.; Ren, X.; Scheffler, M.; Liu, F.; Lischner, J.; Lin, L.; Deslippe, J. R.; Louie, S. G.; Yang, C.; Weigend, F.; Neaton, J. B.; Evers, F.; Rinke, P. GW100: Benchmarking G0W0 for Molecular Systems. J. Chem. Theory Comput. 2015, 11, 56655687,  DOI: 10.1021/acs.jctc.5b00453
    89. 89
      Zhu, T.; Chan, G. K.-L. All-Electron Gaussian-Based G0W0 for Valence and Core Excitation Energies of Periodic Systems. J. Chem. Theory Comput. 2021, 17, 727741,  DOI: 10.1021/acs.jctc.0c00704
    90. 90
      Caruso, F.; Dauth, M.; van Setten, M. J.; Rinke, P. Benchmark of GW Approaches for the GW100 Test Set. J. Chem. Theory Comput. 2016, 12, 50765087,  DOI: 10.1021/acs.jctc.6b00774
    91. 91
      Wen, M.; Abraham, V.; Harsha, G.; Shee, A.; Whaley, K. B.; Zgid, D. Comparing Self-Consistent GW and Vertex-Corrected G0W0 (G0W0Γ) Accuracy for Molecular Ionization Potentials. J. Chem. Theory Comput. 2024, 20, 31093120,  DOI: 10.1021/acs.jctc.3c01279
    92. 92
      Neese, F.; Wennmohs, F.; Becker, U.; Riplinger, C. The ORCA quantum chemistry program package. J. Chem. Phys. 2020, 152, 224108  DOI: 10.1063/5.0004608
    93. 93
      Krause, K.; Harding, M. E.; Klopper, W. Coupled-cluster reference values for the GW27 and GW100 test sets for the assessment of GW methods. Mol. Phys. 2015, 113, 19521960,  DOI: 10.1080/00268976.2015.1025113
    94. 94
      Lange, M. F.; Berkelbach, T. C. On the Relation between Equation-of-Motion Coupled-Cluster Theory and the GW Approximation. J. Chem. Theory Comput. 2018, 14, 42244236,  DOI: 10.1021/acs.jctc.8b00455
    95. 95
      Bauschlicher, C. W. The convergence of the coupled cluster approach for MgO. Chem. Phys. Lett. 2018, 711, 2731,  DOI: 10.1016/j.cplett.2018.09.010
    96. 96
      Shafizadeh, N.; Ha-Thi, M. H.; Soep, B.; Gaveau, M. A.; Piuzzi, F.; Pothier, C. Spectral characterization in a supersonic beam of neutral chlorophyll a evaporated from spinach leaves. J. Chem. Phys. 2011, 135, 114303  DOI: 10.1063/1.3637048
    97. 97
      Loos, P. F.; Pradines, B.; Scemama, A.; Giner, E.; Toulouse, J. Density-Based Basis-Set Incompleteness Correction for GW Methods. J. Chem. Theory Comput. 2020, 16, 10181028,  DOI: 10.1021/acs.jctc.9b01067
    98. 98
      Hashemi, Z.; Leppert, L. Assessment of the ab initio Bethe-Salpeter equation approach for the low-lying excitation energies of bacteriochlorophylls and chlorophylls. J. Phys. Chem. A 2021, 125, 21632172,  DOI: 10.1021/acs.jpca.1c01240
    99. 99
      Förster, A.; Visscher, L. Quasiparticle Self-Consistent GW-Bethe-Salpeter Equation Calculations for Large Chromophoric Systems. J. Chem. Theory Comput. 2022, 18, 67796793,  DOI: 10.1021/acs.jctc.2c00531